上帝可以用数学证明吗

一些数学家寻求上帝存在的逻辑证明。
图片
勒内·笛卡尔
谁会想到上帝是一篇关于数学的文章的合适主题?不用担心,下面的讨论仍然牢固地建立在一个可理解的科学框架内。但是,上帝是否可以被数学证明的问题很有趣。事实上,几个世纪以来,几位数学家一再试图证明神的存在。它们的范围从布莱斯·帕斯卡和勒内·笛卡尔(17 世纪)到戈特弗里德·威廉·莱布尼茨(18 世纪)再到库尔特·哥德尔(20 世纪),他们关于这个主题的著作最近才在 1987 年出版。而且可能是最令人惊奇的事情:在 2013 年首次发布的预印本研究中,算法证明向导检查了哥德尔的逻辑推理链,发现它无疑是正确的。数学现在终于反驳了所有无神论者的主张吗?
正如您可能已经怀疑的那样,事实并非如此。哥德尔确实能够证明,他定义为神圣的事物的存在必然来自某些假设。但这些假设是否合理可能会受到质疑。例如,如果我假设所有的猫都是三色的并且知道三色的猫几乎都是雌性的,那么我可以得出结论:几乎所有的猫都是雌性的。即使逻辑推理是正确的,这当然不成立。因为所有猫都是三色的假设是错误的。如果有人对我们环境中可观察到的事物(例如猫)发表声明,则可以通过科学研究来验证它们。但如果是神性存在的证明,事情就复杂了一些。
莱布尼茨、笛卡尔和哥德尔依赖于上帝的本体论证明,他们通过逻辑推理从神存在的可能性中推断出神性存在的存在,而帕斯卡(1623-1662)选择了一种稍微不同的方法:他从今天可能被视为博弈论的观点并发展了所谓的帕斯卡赌注。
为此,他考虑了两种可能性。首先,上帝存在。其次,上帝不存在。然后他研究了死后相信或不相信上帝的后果。如果有一个神,并且一个人相信它,那么一个人最终会进入天堂;否则下地狱。另一方面,如果没有上帝,则不会发生其他任何事情——无论你是否信教。帕斯卡认为,最好的策略是相信上帝。充其量,你最终会进入天堂;在最坏的情况下,什么都不会发生。另一方面,如果你不相信,那么在最坏的情况下,你可能会下地狱。
帕斯卡的想法是可以理解的——但它们指的是宗教著作中的场景,并不代表存在优越存在的证据。他们只说应该加入基于机会主义的信仰。
处理存在本质的本体论方法更有说服力,即使它们很可能不会改变无神论者的思想。坎特伯雷的神学家和哲学家安塞尔姆(1033-1109)在上个千年之初提出了他的想法。他将上帝描述为一个无法想象的更伟大的存在。但是,如果上帝不存在,那么人们可以想象某种更伟大的东西:即,一种无法想象的存在。但像上帝一样,这个存在也存在并表现出终极伟大的属性。这当然是荒谬的:没有什么比人们所能想象的最伟大的事情更伟大了。因此,上帝不存在的假设一定是错误的。
笛卡尔(1596-1650年)重新审视了这个想法,花了几个世纪的时间。据说他不知道安塞尔姆的著作,他为完美存在的神圣存在提供了几乎相同的论据。莱布尼茨(1646-1716)几十年后接手了这项工作并发现了它的错误:他认为,笛卡尔没有证明某些实体的“完美属性”,从三角形到上帝,是相容的。莱布尼茨继续争辩说,完美不能被适当地研究。因此,永远无法反驳完美的属性结合在一个存在中。因此,神性存在的可能性必须是真实的。因此,根据安瑟伦和笛卡尔的论点,必然得出上帝存在。
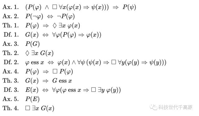
然而,从数学的角度来看,这些思想实验只有通过哥德尔的努力才真正变得严肃起来。这并不令人惊讶:这位科学家在 25 岁时就已经将这个话题彻底颠覆了,他证明数学总是包含无法证明的真实陈述。在这样做时,他利用了逻辑。同样的逻辑也使他能够证明上帝的存在。看看这 12 个步骤,这些步骤由一组公理 (Ax)、定理 (Th) 和定义 (Df) 组成。
图片
Kurt Gödel 的正式证明。
乍一看,它们似乎很神秘,但可以一步一步地通过它们来遵循哥德尔的思想。他从一个公理开始——一个假设,换句话说:如果 φ 具有属性 P 并且从 φ 总是跟随 ψ,那么 ψ 也具有属性 P。为简单起见,我们可以假设 P 代表“正”。例如:如果一种水果很好吃,是一种积极的属性,那么吃起来也很有趣。因此,吃它的乐趣也是一种积极的属性。
第二个公理进一步为 P 设置了一个框架。如果某物的反面是积极的,那么“某物”一定是消极的。因此,哥德尔将世界分为黑白两部分:要么是好,要么是坏。例如,如果健康是好的,那么疾病必然是坏的。
有了这两个前提,哥德尔可以推导出他的第一个定理:如果 φ 是一个正属性,那么就有可能存在一个具有属性 φ 的 x。也就是说,积极的事物是可能存在的。
现在数学家第一次转向神性存在的定义:如果 x 拥有所有积极的属性 φ,它就是神性的。第二个公理确保以这种方式定义的上帝不能具有负面特征(否则会产生矛盾)。
第三条公理指出,神性是积极的特征。这一点确实没有争议,因为神性结合了所有积极的特征。
第二个定理现在变得更加具体:通过结合第三个公理(神性是肯定的)和第一个定理(有可能存在肯定性的东西),可以存在一个神圣的存在 x。
哥德尔现在的目标是在以下步骤中表明,上帝必然存在于已经制定的框架中。为此,他在第二个定义中引入了对象 x 的“本质”φ,这是一个决定所有其他特征的特征属性。一个说明性的例子是“像小狗一样,如果某物具有这种特性,它必然是可爱、蓬松和笨拙的。
第四个公理一开始似乎并不太令人兴奋。它只是说,如果某件事是积极的,那么它总是积极的——无论时间、情况或地点如何。例如,无论是在德国海德堡还是布宜诺斯艾利斯,无论是白天还是晚上,像小狗一样品尝美味总是积极向上的。
哥德尔现在可以制定第三个定理:如果一个存在 x 是神性的,那么神性是它的本质属性。这是有道理的,因为如果某物是神圣的,它就拥有所有积极的特征——因此 x 的属性是固定的。
下一步与特定存在的存在有关。如果在某处至少有一个存在 y 拥有属性 φ,这是 x 的本质属性,那么 x 也存在。也就是说,如果有什么东西像小狗,那么小狗也一定存在。
根据第五公理,存在是一种积极的属性。我想大多数人都会同意这一点。
从这一点现在可以得出结论,上帝存在是因为这个存在物拥有所有积极的属性,并且存在是积极的。
事实证明,哥德尔的逻辑推论都是正确的——甚至计算机也能够证明这一点。然而,这些推论也招致批评。除了公理,当然可以质疑(为什么一个世界应该被分为“善”和“恶”?),哥德尔没有提供更多关于积极属性是什么的细节。
确实,通过定义和公理,可以用数学方法描述集合 P:
如果一个属性属于该集合,则不包括其否定。该套装是独立的。
集合的本质只有集合的特征这一事实本身就是集合的一个元素。集合总是具有相同的元素——与情况无关。在这种情况下,情况是包含该集合的数学模型。
存在是集合的一部分。
如果 φ 是集合的一部分,那么以 φ 为集合的本质的性质也包含在集合中。
但这一切并不能保证这一套是独一无二的。可能有多个满足要求的集合。例如,正如逻辑学家所表明的那样,根据哥德尔的定义,有可能构建出超过 700 个本质上不同的神圣实体。
这并没有解决一个(或多个)神性存在的最终问题。数学是否真的是回答这个问题的正确方法本身就是值得怀疑的——即使思考它是非常令人兴奋的。
本文最初出现在Spektrum der Wissenschaft并经许可转载。
图片
Manon Bischoff
Spektrum der Wissenschaft
的编辑。她主要涵盖数学和计算机科学,并撰写了专栏 “神话般的数学世界”。Bischoff 在德国达姆施塔特工业大学学习物理学,然后在德国美因茨约翰内斯古腾堡大学担任研究助理。
图片