北化周继升Small:无孔MOFs纳米线上的边界金属中心促进复合聚合物电解质的快速锂离子界面传输

【导读】
用于复合聚合物电解质 (CPE) 的金属有机框架 (MOF) 填料正在兴起。增强 MOF、聚合物和锂盐之间的路易斯酸碱相互作用 (LABI) 有望促进锂离子的传输。但是,目前还不清楚如何定制一个强大的LABI界面。经典 MOF 的大表面积也干扰了阐明 LABI 对 Li+-传输的影响。
北京化工大学材料科学与工程学院周继升教授选择Bi3+作为金属中心,设计表面积仅为17.13 m2g-1的胶体分散无孔MOFs(Bi/HMT-MOFs)纳米线,制备聚环氧乙烷(PEO)基CPEs(BMCPE)。
图片
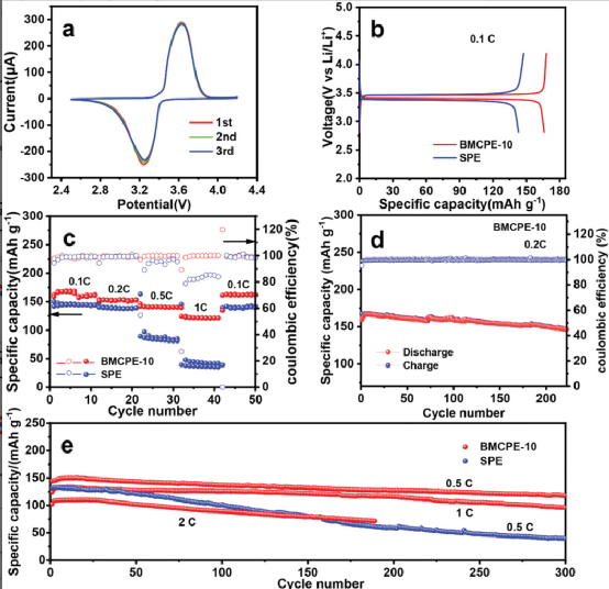
无孔特征可以排除表面积对 Li+传输的影响。更有趣的是,Bi3+是一种典型的临界酸,可以与硬碱性 PEO 和软碱性锂盐阴离子发生相互作用。因此,Bi/HMT-MOFs 均匀分散在 BMCPE 中,与 PEO 和锂盐形成强 LABI 界面,促进锂盐解离并提供快速的锂离子传输通道。尽管 Bi/HMT-MOFs 具有超低的表面积,但 BMCPE 表现出显着增强的离子电导率和 Li+迁移数,完全可以与传统的 MOFs 填充 CPE 相媲美。BMCPE 还可以实现具有出色的高倍率性能和长期循环稳定性的对称和全电池。相反,当Bi3+位点被遮挡时,电化学性能明显下降。
图片
因此,采用边缘金属中心将是构建高性能 MOF 填充 CPE 的 LABI 界面的有效策略。
文献链接:Xu, J., Ma, G., Wang, N., Zhao, S., Zhou, J., Borderline Metal Centers on Nonporous Metal-Organic Framework Nanowire Boost Fast Li-Ion Interfacial Transport of Composite Polymer Electrolyte. Small 2022, 2204163.https://doi.org/10.1002/smll.202204163