北大占肖卫最新光伏综述Nature Reviews Chemistry:稠环电子受体的原理、设计与应用

01【导读】
稠环电子受体 (FREA) 具有给体-受体-给体结构,包括给电子稠环核、受电子端基、π 桥和侧链。FREAs 具有有益的特性,例如定制其结构的可行性、高性能可调性、强的可见光和近红外光吸收以及出色的 n 型半导体特性。近年来,FREA引发了有机太阳能电池领域的一场革命。基于 FREA 的有机太阳能电池实现了前所未有的效率,超过 20%,打破了传统富勒烯受体的理论效率极限(~13%),并拥有接近 10 年的潜在工作寿命。在对FREAs的原始研究的基础上,各种新的结构、机制和应用蓬勃发展。
02【成果掠影】
近日,北京大学占肖卫教授等人发表了评述性论文,介绍了 FREA 的基本原理,包括它们的结构以及固有的电子和物理特性。同时,作者讨论了通过改变电子结构或分子堆积来调节 FREA 特性的方式。然后,作者介绍当前的应用并考虑可能从 FREA 的发展中受益的未来领域。最后,作者总结了 FREA 化学的立场,反思了这个新兴领域未来可能出现的挑战和机遇。
相关综述文章以“The principles, design and applications of fused-ring electron acceptors”为题发表在Nature Reviews Chemistry上。
图片
03【数据概览】
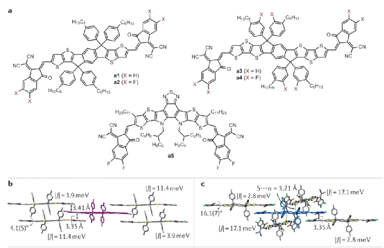
图一、单晶中稠环电子受体的堆积© 2022 The Authors
图片
图片
图二、具有扩展环和给体 d1-d3 的稠环电子受体的结构© 2022 The Authors
图片
图三、具有取代环的稠环电子受体的结构© 2022 The Authors
图片
图四、FREA的分子结构和各种应用© 2022 The Authors
图片
作者简介
北京大学占肖卫教授,长期从事有机高分子光电功能材料的设计合成、光电性能表征和器件研究。在非富勒烯受体太阳能电池领域做出了开创性和引领性贡献,开创了被领域誉为“里程碑”和“划时代”的“稠环电子受体”材料体系。以明星分子ITIC为代表的稠环电子受体开启了有机光伏领域的“非富勒烯时代”,20余个国家300余个研究组在有机光伏等诸多领域使用稠环电子受体。在Nature Reviews Materials, Nature Photonics, Chemical Reviews, Chemical Society Reviews, Accounts of Chemical Research, Journal of the American Chemical Society, Advanced Materials, Energy & Environmental Science, Joule等国际期刊上发表论文350篇,其中影响因子>10的论文126篇,影响因子>20的论文65篇。所发表论文被引用37,000余次(Google Scholar)。单篇引用超过1000次的论文7篇,超过100次的论文65篇,68篇论文入选ESI高被引论文,30篇论文入选ESI热点论文,8篇论文入选中国百篇最具影响国际学术论文。出版专著1本(科学出版社),为英国皇家化学会、Wiley(4)和科学出版社(4)撰写专著9章。研究成果被Science, Chemical & Engineering News, MRS Bulletin, ACS Noteworthy Chemistry, Materials Views, Materials Views China等报道评述。论文被Accounts of Chemical Research, Chemical Society Reviews, Advanced Materials等著名期刊选为封面。申请国际发明专利9件和中国发明专利34件。在国际国内重要学术会议做大会报告、主旨报告、邀请报告100余次,担任组委会成员30余次。
文献链接:Wang, J., Xue, P., Jiang, Y. et al. The principles, design and applications of fused-ring electron acceptors. Nat Rev Chem (2022). https://doi.org/10.1038/s41570-022-00409-2.