三次方程的不堪过往

撰文 | Hemanth
翻译 | C&C
审校 | zhenni
图片
左边这位尼科洛·丰坦纳(Niccolò Fontana),也被称为塔尔塔利亚(Tartaglia)。他与吉罗拉莫·卡尔达诺(Gerolamo Cardano)在解决立方方程问题上做出了贡献,但也在这条道路上成为了敌人。
历史上充满了反目成仇的竞争:爱迪生和特斯拉,哈丁(Harding)和凯丽甘(Kerrigan,皆为滑冰运动员)等等。16世纪意大利数学家卡尔达诺和尼科洛·丰坦纳 (后者更广为人知的名字是塔尔塔利亚,意为“口吃者”,因少年时面部被法国士兵的剑得伤后说话困难而名)之间的冲突同样具有戏剧性。起因就是:三次方程
大多数高中生都知道如何用求解二次方程,如x2-x-3=0。ax2+bx+c=0这样方程的解、或者说根是:
图片
对于更高次(x的幂次更大)的方程是否有类似的公式呢?从本质上讲,在卡尔达诺、塔尔塔利亚和他们同时代的人之前,就已经有了解决这个问题的任务。
像上面这些抽象的符号表达式和熟悉的操作方法的现代代数可以追溯到17世纪,比这些学者的时代晚了很久。但是代数思想,以及解决我们所认为的线性和二次方程的能力,在之前的几千年里一直发展缓慢。
在16世纪,代数方程仍然是用文字而不是符号来表达的,所有的系数都必须是非负的,因为数
图片
图片
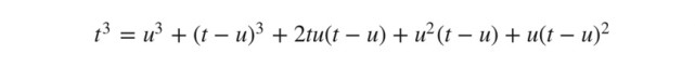
同样地,将边长为t的立方体分解为6个方块可以有下面的表达:
图片
图片
(t>u)。
希皮奥内·德尔·费罗(Scipione del Ferro)是16世纪早期博洛尼亚大学的一位教授,他是第一个在求解三次方程方面取得重大进展的人。不幸的是,由于当时奇怪的学术保密文化,我们并不知道他的所有成就。学者们不会急于发表自己的研究成果,也不会陶醉于证明一个定理或解决一个问题获得的认可,他们会互相挑战,进行“数学决斗”:互相发送具有挑战性的问题,谁解决得最多,谁就获胜。胜利者往往会获得职业发展和更多的学生。因此,这些发现有时会被储存起来,成为将来在竞赛中使用的秘密武器。
当c和d为正时,费罗可以解出x3+cx=d的方程。像这样没有平方项的三次方程被称为“亏损立方(depressed cubic)方程”。尽管16世纪的数学家不会用这种表达式,但费罗证明了其中一个根是:
图片
这个现代公式适用于任何亏损立方方程,但由于不同系数符号的三次方程被认为是不同问题,因此费罗的解不能直接应用到其他亏损立方方程。我们只知道费罗解出这些三次方根是因为他把这个技术教给了他的学生菲奥尔(Antonio Fior),后者在费罗死后吹嘘他能解出这样的方程。
与此同时,自学成才的塔尔塔利亚发现了另一种形式的三次方程的解法——通过减去线性项cx。这为菲奥尔和塔尔塔利亚之间的数学对决奠定了基础。1535年,他们交换了30个问题,期限是一个半月。塔尔塔利亚给菲奥尔提供了各种各样的问题,而数学上较弱的菲奥尔采用了“所有鸡蛋都放在一个篮子里”的策略,给塔尔塔利亚提出了30个亏损三次方程。就在截止日期的前几天,塔尔塔利亚想出了解决这些问题的方法,并在两个小时内完成了所有问题;与此同时,菲奥尔没有解决任何问题。塔尔塔利亚成功的消息传遍了整个意大利,而被羞辱的菲奥尔也从人们的视野中消失了。
当时的普遍看法是,解出立方方程是不可能的,所以塔尔塔利亚的成就震惊了卡尔达诺。
卡尔达诺是当时的一位备受追捧的医生,但他脾气暴躁、赌博、与行为不端的儿子斗争、在宗教裁判所入狱等等,被一个又一个麻烦所困扰。然而他仍然在数学、医学、哲学、宗教、音乐和物理方面做出了贡献。几十年后,戈特弗里德·莱布尼茨(Gottfried Leibniz)写道,“卡尔达诺是一个伟大的人,因为他具有的缺点;如果没有这些缺点,他将是无与伦比的。”他的作品集长达7000页,其中包括对概率论的首次严肃研究。
卡尔达诺试图复制塔尔塔利亚在立方上的成功,但失败了,所以他开始施压说服塔尔塔利亚分享他的方法,甚至发誓承诺保密:
我以《神圣的福音》和我作为绅士的信仰向你发誓,如果你把你的发现告诉我,我不仅永远不会公布,而且作为一个真正的基督徒,我保证把它们用密码记录下来,这样在我死后就没有人能理解了。
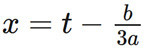
最终,在1539年,塔尔塔利亚妥协了,与卡尔达诺分享了他求解亏损三次方程的技巧。虽然没有分享完整的证明,但对于聪明的卡尔达诺来说,仅仅知道这个方法就足以发现潜在的数学原理。不久之后,卡尔达诺就能解出任何一个亏损三次方程。他观察到了这种替换:
图片
图片
尽管他对塔尔塔利亚发了誓,但卡尔达诺还是把这些结果告诉了他才华横溢的助手卢多维科·费拉里(Ludovico Ferrari)。他一开始只是卡尔达诺的仆人,但最终在数学上可以与卡尔达诺平起平坐。通过帮助卡尔达诺研究三次方程,他在代数上非常熟练,发现了如何将四次方程(一元四次)简化为三次方程。因此,卡尔达诺和费拉里得以求解任何四次或四次以下的方程。
卡尔达诺认识到这些成就的重要性,并迫切希望公布这些结果。但它们都是由塔尔塔利亚种下的种子长出来的,这样做会违背他的誓言。
1543年,在一次博洛尼亚之旅中,卡尔达诺在费罗的手稿中看到,他比塔尔塔利亚更早地解决了亏损三次方程问题。在卡尔达诺看来,这个发现解除了他对塔尔塔利亚的义务。两年后,卡尔达诺出版了《大术》(Ars Magna),其中包括他和费拉里关于三次和四次方程的研究。
尽管卡尔达诺在书中承认了塔尔塔利亚的工作,但他勃然大怒,指控卡尔达诺盗窃并违背了神圣的誓言。卡尔达诺则把这些指责留给了他忠诚的攻击犬费拉里。激烈的论战以公开小册子的形式持续了好几个月,导致了塔尔塔利亚和费拉里之间的数学对决,并最终在费拉里的家乡米兰进行了公开辩论。塔尔塔利亚更愿意与受人尊敬的卡尔达诺作战,但被拒绝了。尽管留存的细节很少,但针对塔尔塔利亚的攻击非常激烈,尤其是在对手家乡喧闹的人群中。到第二天继续辩论的时候,塔尔塔利亚却不见了,因为他已经离开了米兰。
费拉里收到了大量的工作邀请,而塔尔塔利亚的名声毁了。尽管除了那些与三次幂有关的成就之外,塔尔塔利亚还有许多显著的成就,但他死时身无分文,无人问津;而卡尔达诺却获得了永恒的名誉,许多人认为《大术》的出版标志着现代数学的开始。
图片
1824年,尼尔斯·阿贝尔(Niels Abel)首次完整地证明了这一事实,比《大术》晚了近三个世纪。在1830年,18岁的政治煽动者埃瓦里斯·迦罗瓦(Évariste Galois)通过给出任意阶多项式何时可解的确切标准,扩展了这项工作。虽然伽罗瓦在两年后死于一场决斗(用枪而不是数学的决斗),但他对数学的贡献是巨大的。
这些“不可能”的结果并不是故事的结局。数学家仍然在研究多项式、它们的根和性质。大卫·希尔伯特(David Hilbert)在1900年提出了一个关于七次多项式根的著名问题。上世纪50年代就被认为已经解决了的问题,现在又重新引起了人们的兴趣。据推测,现代数学家可以在这个问题上取得新的进展,还不必重演围绕三次幂的竞争。
本文经授权转载自微信公众号“中科院物理所”,编辑:zhenni。
原文链接:
https://www.quantamagazine.org/the-scandalous-history-of-the-cubic-formula-20220630/
特 别 提 示
1. 进入『返朴』微信公众号底部菜单“精品专栏“,可查阅不同主题系列科普文章。
2. 『返朴』提供按月检索文章功能。关注公众号,回复四位数组成的年份+月份,如“1903”,可获取2019年3月的文章索引,以此类推。