刚刚,常州11所民办初中摇号结果公布!

昨天(6月15日)上午
由常州市教育局组织,常州公证处实施的
民办初中招生电脑随机派位顺利举行
11所民办初中招生“摇号”结果出炉
此次民办初中招生电脑随机派位过程全程录像
并邀请了11所民办初中负责人
以及今年参加民办初中报名的学生家长、
媒体记者、人大代表、政协委员、
纪检监察人员等有关方面82位代表现场监督
那么究竟有哪些孩子被录取了呢?
快来看看录取名单吧~
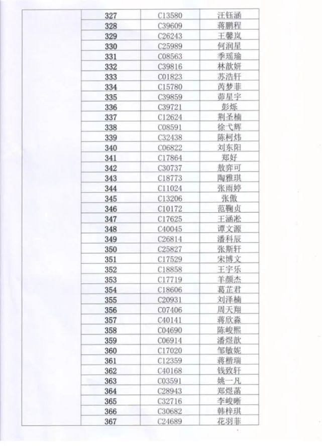
常州外国语学校
根据《关于做好2022年全市幼儿园、义务教育学校招生及小学毕业工作的指导意见》精神,6月15日经常州公证处现场公证,电脑随机派位产生649名(含绑定双胞胎9对)学生,为我校2022年秋学期拟录取新生。现将电脑派位录取名单公布如下:
图片
图片
图片
图片
图片
图片
图片
图片
图片
图片
图片
图片
图片
图片
图片
图片
新生入学手续
图片
常州外国语学校双语学校
常州正衡中学
根据《关于做好2022年全市幼儿园、义务教育学校招生及小学毕业工作的指导意见》精神,6月15日经常州公证处现场公证,电脑随机派位产生641名学生(其中双胞胎1对),为我校2022年秋学期拟录取新生。现将电脑派位录取名单公布如下:
图片
图片
新生缴费须知:
1、缴费时间:2022年6月16日上午8:00—11:00
2、缴费地点:常州市正衡中学校内(清凉东路48号)
要求:
1、2022年秋季入学学费标准13200元/生/学期,请携带银行卡刷卡缴费(不支持微信、支付宝转账);
2、带好孩子的身高体重数据(以备校服尺寸需要)及顺序号;
3、路途遥远需要住宿的学生,请在报到窗口填写住宿申请;
4、为提高报到效率,避免拥挤,请家长按照提示,到指定窗口报到;
5、学校不提供停车位,且清凉东路全线禁停,为避免校门口交通拥堵,请家长绿色出行,敬请配合。
友情提醒:
根据疫情防控要求,为减少人员过于密集,请被我校拟录取学生的1位家长进校办理入学手续(学生本人无需到校),请各位进校家长佩戴口罩,扫场所码,并配合工作人员测温。
逾期未缴费的学生,视为放弃入学资格。
常州市正衡中学
2022年6月15日
常州中天实验学校
图片
图片
图片
图片
图片
图片
图片
图片
图片
图片
常州市河海实验学校(初中部)
图片
常州钟楼外国语学校
图片
常州市有光实验学校
根据《关于做好2022年全市幼儿园、义务教育学校招生及小学毕业工作的指导意见》精神,6月15日经常州公证处现场公证,电脑随机派位产生216名学生,为我校2022年秋学期拟录取新生。现将电脑派位录取名单公布如下:
图片
图片
图片
图片
图片
新生缴费须知:
1.缴费时间:6月16日(星期四)8:00—14:00。
根据疫情防控要求,为减少人员过于密集,被我校拟录取学生家长,请于线上进行缴费(线上缴费流程详见下方告家长书)。
2.因特殊情况不能进行线上缴费的学生家长,请每位学生派1位家长,于6月16日(星期四)8:00—14:00到我校进行线下缴费。线下缴费的家长需提前准备好48小时核酸检测报告,进校时佩戴好口罩,并配合工作人员检测体温。
3.线下缴费地点:常州市有光实验学校有光大道(从东北门入)。
4.线下缴费方式:现金和微信、支付宝扫码支付。
5.缴费金额(学费):壹万叁仟贰佰元整(13200/学期)。
逾期未缴费的学生,视为放弃入学资格。
常州市钟楼区昕弘实验学校
根据《关于做好2022年全市幼儿园、义务教育学校招生及小学毕业工作的指导意见》文件精神,6月15日经常州公证处现场公证,电脑随机派位产生110个顺序号(含一对双胞胎),为111名学生,为我校2022年秋学期拟录取新生。现将电脑派位录取名单公布如下:
图片
图片
图片
新生缴费须知:(更多资讯请阅读下篇报到须知)
1、缴费时间:2022年6月16日(上午8:30-11:30)
2、缴费地点:图文楼一楼图书馆缴费处
3、缴费所需材料:学生户口簿、家长身份证、江苏银行借记卡
逾期未缴费的学生,视为放弃入学资格。
常州市星辰实验学校
根据《关于做好2022年全市幼儿园、义务教育学校招生及小学毕业工作的指导意见》精神,6月15日经常州公证处现场公证,电脑随机派位产生76名学生,为我校2022年秋学期拟录取新生。现将电脑派位录取名单公布如下:
图片
新生缴费须知:
1.缴费时间:6月16日
2.缴费地点:星辰实验学校行政楼二楼接待室
缴费所需材料:学生身份证或户口本
逾期未缴费的学生,视为放弃入学资格。
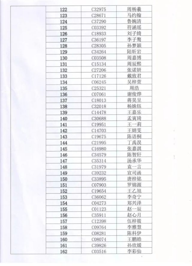
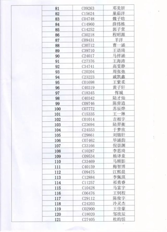
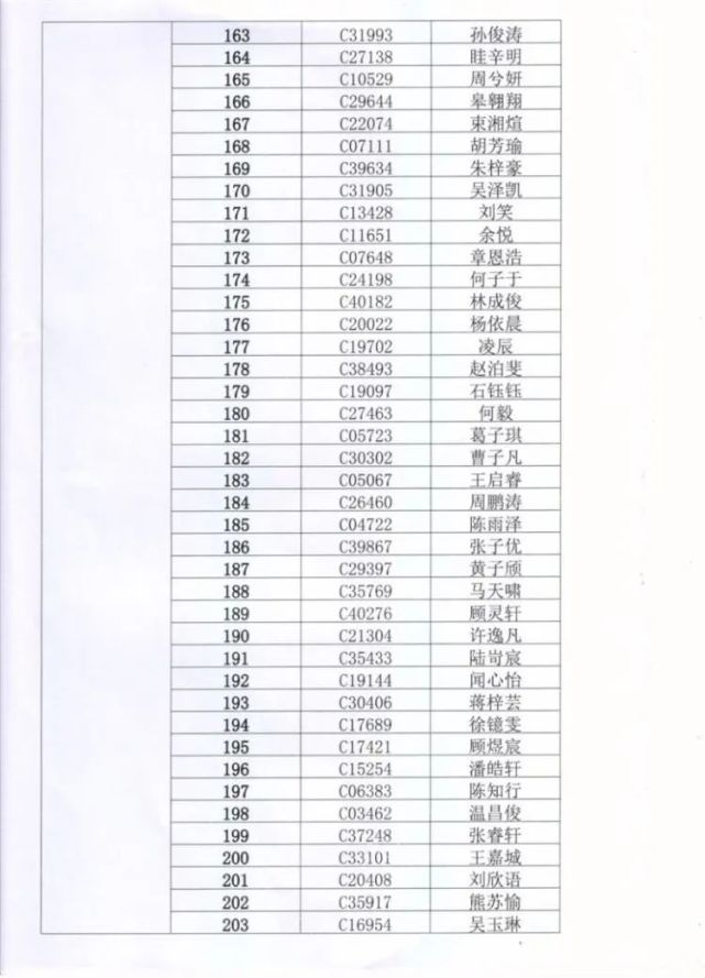
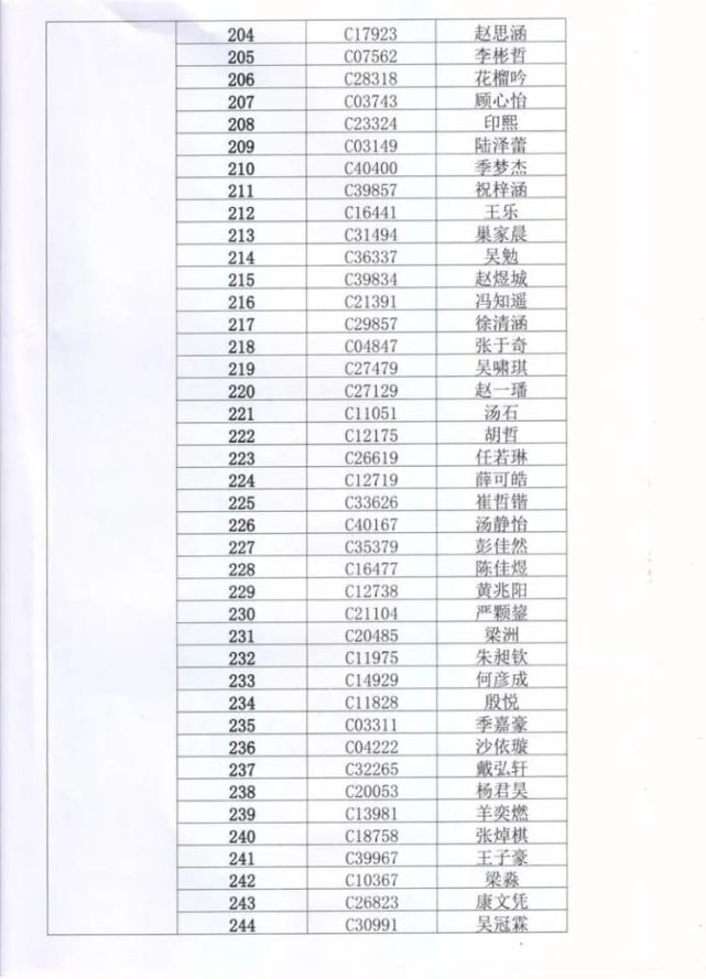
常州市武进区湖塘实验中学
根据《关于做好2022年全市幼儿园、义务教育学校招生及小学毕业工作的指导意见》精神,6月15日经常州公证处现场公证,电脑随机派位产生725名学生,其中普通课程班564名(含绑定双胞胎4对);双语课程班161名(含绑定双胞胎1对),为我校2022年秋学期拟录取新生。现将电脑派位录取名单公布如下:
普通课程班:
图片
图片
图片
图片
图片
图片
图片
图片
图片
图片
双语课程班:
图片
图片
图片
新生缴费须知:
1.缴费时间:2022年6月16日上午8:00-下午4:30。
2.缴费方式:线上扫码缴费。
3.缴费说明:
(1)6月16日上午8:00在校园网公布《常州市武进区湖塘实验中学2022年秋学期新生缴费通知》。
(2)家长根据学生所报班级类型,选择相应缴费二维码,扫码填入相关信息后缴费。
(3)逾期未缴费的学生,视为放弃入学资格。
常州市武进区湖塘实验中学
2022年6月15日
常州市武进区前黄实验学校
根据《关于做好2022年全市幼儿园、义务教育学校招生及小学毕业工作的指导意见》精神,6月15日经常州公证处现场公证,电脑随机派位产生普通课程班300名学生(含0对双胞胎),双语融合课程班181名学生(含1对双胞胎),为我校2022年秋学期拟录取新生。现将电脑派位录取名单公布如下:
温馨提示
为体现政策的人文关怀,解决困扰市民的双胞胎电脑派位结果不一致,产生接送不便的难题,今年,继续实施“双胞胎绑定”参加电脑随机派位政策。家长可在报名时,自愿申请“双胞胎绑定”,若绑定电脑随机派位,双胞胎将作为一个号,同时派中或同时不派中;若家长不申请,双胞胎子女将与其他普通学生一样,可分别参加电脑随机派位。今年共有95对双胞胎申请绑定电脑随机派位。
各辖市区将于7月12日开展民办小学电脑随机派位并公布录取结果。
教育相关人士表示,今年“摇号”步骤与去年一致,整个“摇号”过程公平公正、公开透明。对于没有派位成功的学生,将回施教区公办学校就读,不需要担心孩子的入学问题。
来源:各学校官网
如有遗漏请指正。
图片
信息源自:网络
内容整理:常州驿站(微信号:changzhouyz)
转载请注明