monarchE 研究的患者报告结果支持 abemaciclib 联合内分泌治疗在早期乳腺癌中的疗效

Ann Oncol 丨辅助 Abemaciclib(阿贝西利)联合内分泌治疗高危早期乳腺癌:monarchE 研究的安全性和患者报告结果
关键词:Abemaciclib;乳腺癌;内分泌治疗
背景:在 monarchE 中,abemaciclib 加内分泌治疗(ET)作为激素受体阳性(HR+)、人表皮生长因子 2 阴性(EGFR-)、高风险的早期乳腺癌的辅助治疗,与单独使用 ET 相比,显示出具有临床意义的侵袭性无病生存期改善。之前 Ann Oncol 刊文报道了辅助阿贝西利 Abemaciclib 联合内分泌治疗高危早期乳腺癌:来自 monarchE 研究的最新疗效和 Ki-67 分析的结果,本次主要介绍了在中位随访 27 个月时进行的详细安全性分析和关键的患者报告结果(PRO)。
患者和方法:安全人群包括接受至少一剂研究治疗的所有患者(n = 5591)。安全性分析包括常见和临床相关不良事件(AE)的发生率、管理和结果。评估了患者报告的与健康相关的生活质量、ET 症状、疲劳和副作用负担。
结果:将 abemaciclib 添加到 ET 导致更高的 3 级 AEs 发生率(49.7% vs 单独使用 ET 的 16.3%),主要是实验室血细胞减少(例如,中性粒细胞减少 [19.6%])而没有临床并发症。
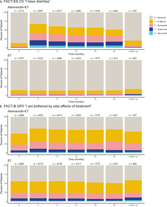
Abemaciclib 治疗的患者经历了更严重的不良事件(SAE;13.3% vs 7.8%)。18.5% 的患者因 AEs 停用 abemaciclib 和/或 ET,主要是由于 1/2 级 AEs(66.8%)。AEs 采用药物治疗(例如止泻药)、abemaciclib 剂量保持(61.7%)和/或剂量减少(43.4%)进行管理。腹泻一般为低级(1/2 级:77%);2/3 级事件在第一个月最高(20.5%),持续时间最短(≤7 天)且未复发。
图片
静脉血栓栓塞事件(VTE)abemaciclib + ET(2.5%)与 ET(0.6%)相比较高;在 abemaciclib 组中,观察到他莫昔芬与 AI 相比 VTE 风险增加(4.3% 对 vs 1.8%)。
PROs 在两组之间相似,包括 「 被治疗的副作用困扰 」,除了腹泻。在 ≥3 个月时,大多数报告腹泻的患者报告仍有一些腹泻的症状。
图片
结论:在高危 EBC 患者中,辅助 abemaciclib + ET 具有可接受的安全性,PRO 研究结果支持耐受性。大多数 AE 在药物治疗和/或剂量调整后是可逆和可控的,与已知的 abemaciclib 毒性特征一致。
本文仅供医疗卫生等专业人士参考
策划:GoEun,梅浙
题图来源:站酷海洛PLUS
Rugo HS, O'Shaughnessy J, Boyle F, et al. Adjuvant Abemaciclib Combined with Endocrine Therapy for High Risk Early Breast Cancer: Safety and Patient-Reported Outcomes From the monarchE Study. Ann Oncol. 2022 Mar 22;S0923-7534(22)00383-0. doi: 10.1016/j.annonc.2022.03.006.