饺子总在锅里“气炸”?也许得补补传热学啦

2022除
New Year's Eve
今天是除夕佳节,
想必大家已经贴好春联,
换上新装,
准备去亲友家里拜年。
或者正围坐在餐桌边,
吃上一顿热气腾腾的团圆饭。
无论在五湖四海,
饺子都是新年餐桌上,
必不可少的一样。
图片
煮好的饺子若饱满完整,
便Q弹喜人,
可是一旦煮破,
便像是打碎的艺术品,
令人唏嘘。
图片
为什么饺子会煮破?
加凉水的小妙招是否科学?
为了解决这些疑惑,
让我们从传热学的视角,
科学地煮一次饺子。
1
传热的基本方式
讲到传热,首先要介绍一下传热的三种基本方式:热传导、热对流和热辐射
热传导
热传导主要针对固体内或者固体间的传热,是指当材料各部分不发生相对运动而通过分子、原子、电子等微观粒子完成传热的过程。比如在煮饺子的过程中,热量在锅壁内的传导在饺子皮中的传导,以及当饺子皮儿与馅儿接触时相互的传热,都属于热传导。
图片
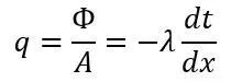
对于热传导问题,一般用傅里叶定律(又称导热基本定律)描述,即热流密度满足
图片
其中Φ热流量,代表单位时间流过的热量,单位为W。A代表面积,于是很自然地可以看出,热流密度q代表单位时间流过单位表面积的热量。dt和dx分别是温度差和距离微元λ导热系数,是材料的属性决定的,单位为W/(m·K)。
从该表达式中我们可以看出三点主要的信息:(1) 热量由高温区向低温区传递;(2) 温度变化越剧烈,传热越快;(3) 传热的速度受到材料性质(导热系数λ不同)的影响。
在煮饺子的问题中,我们可以简单对比锅壁(铁/不锈钢)、水、饺子皮儿和饺子馅儿的导热系数,其中皮儿和馅儿分别用含水量12%的小麦面粉以及部分肉类代替。
图片
不同物体的导热系数 | 数据:参考资料[2]-[4]
对比不难发现作为金属制品有着比其他物体大两个数量级导热系数,这也是为什么金属的勺子都要配上非金属的把手,就是避免导热过快造成的烫伤。
热对流
热对流则发生在有流体(液体或气体)存在时的情况,指流体各部分之间相对运动时冷热部分掺混引起的热量传递。由于内部分子也在进行热运动,因此热对流也伴随着热传导
虽然热对流是发生在液体内部的,但是当液体流经物体表面与表面发生热量传递的过程在实际应用中更常见,为了加以区分后者称为对流传热。在煮饺子的过程中,水与锅之间水与饺子皮儿之间的传热方式都可以应用对流传热的模型。
图片
上面提到的流体在物体表面换热的对流传热模型可以用牛顿冷却公式描述,写作
其中q仍为热流密度Δt代表物体表面与流体的温差。比例系数h称为表面传热系数(也称作对流换热系数),单位是W/(m·K)。由于表面传热系数涉及流体与物体表面间的传热,因此不仅与物体表面的特征有关(比如材质、形状、大小),也与流体的物理性质(如导热系数、热容量)甚至流速有关。
图片
对流依据产生流动的原因可以分为两种:自然对流和强制对流
自然对流是由于各部分温度差异引起的密度差异驱动的流动。比如在煮饺子且水未沸腾时,接近锅底的水被加热后密度会降低,从而向水面流动,而上层的水温度和密度较低,倾向于向锅底运动,形成自然对流。
强制对流则是在有水泵或其他压力差存在的情况下产生的流动,比如用勺子搅动锅里的水,也会引起水的流动。
热辐射
热辐射是指由于热的原因,各种物体自发辐射电磁波从而放出能量的现象。当电磁波辐射到其他物体,又会被一定程度上吸收,辐射和吸收共同构成了辐射传热当体系达到动态平衡时,每个物体吸收和辐射出的热量相同
讨论辐射问题时一个理想研究对象是称为绝对黑体的物体,其特征是可以吸收所有照射到表面的电磁波。这种物体吸收的本领是最大的,显然在达到动态平衡时,其辐射能量的能力也是最大的。黑体单位时间辐射出的能量由斯忒藩——玻尔兹曼定律揭示:
其中A辐射面积T是黑体的温度σ黑体辐射常数,数值为5.67×10W/(m·K)。而实际物体与绝对黑体的辐射相差一个比例系数ε,即
该比例系数称为物体的发射率(又称黑度)。值得注意的是,热辐射的能量显著地受到温度的影响,因此当没有高温物体存在时,一般忽略热辐射
在煮饺子的过程中,火焰是具有较高温度的正在完全或部分燃烧的气体,以天然气灶为例,其温度一般可以达到1000-1500K左右,因此可以产生明显的热辐射现象。然而,火焰本身作为流体,也可以通过热对流的方式向锅底传热,一般情况下后者起主要的加热作用。
图片
看到这里,大家是否觉得盘中的饺子其实散发着物理学的光芒?毕竟煮一次饺子,是火焰的热量是经历了火焰与锅之间的对流传热与辐射传热、锅壁内部的热传导、锅壁与水的对流传热、水内部的热对流与热传导、水与饺子皮儿的对流传热、饺子皮儿与饺子馅儿的热传导才最终将我们盘中的饺子煮熟的。(觉得不物理可以不喘气念一下上面这句话。)但是,我们仍然忽略了重要的一环,那就是饺子里的空气
2
别把空气真当“空气”
读者问曰:“饺子里有空气很重要么?”
小编答曰:“答案就在下面。”
读者继续阅读推送,小编继续吃饺子。
——《中二所外传·传热篇》
先讲个题外话,饺子里面的空气就是饺子煮熟会上浮的重要原因之一。由于包饺子难免会将部分空气包在里面,当饺子被不断加热,内部的空气也会受热膨胀。这会导致原来待在锅底的饺子总体积变大,受到的浮力变大,直至浮力能克服自身重力便上浮到水面
图片
其实空气的存在还关系到两件事:一是为什么为了将馅儿煮熟需要加凉水,二是为什么有时候饺子会煮炸(诶!?不是学不好传热气炸的么?)。
首先看第一件事,关键在于热量的传递总是先到达饺子皮儿向内部传到饺子馅儿,因此皮儿往往很快就熟了,馅儿却不一定。刚刚已经提到,随着加热,饺子会被内部较热的空气撑起来,这导致了原来直接接触的皮儿和馅儿被空气层隔开
按照与前面类似的分析,加了空气层,传热便由皮儿和馅儿之间的直接热传导,变为了通过与空气层的对流换热再传到馅儿。直观上,增加了环节应该会降低传热的效率,但是究竟影响了多少呢?我们抽象一个理想的模型计算一下。
图片
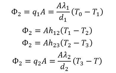
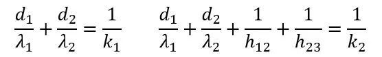
如图所示是不存在与存在空气层的两种情况,将传热简化为一维模型,认为皮儿和馅儿的厚度恒定,分别为d1和d2,二者的导热系数分别为λ1和λ2,两侧的温度恒定,分别为T0和T。
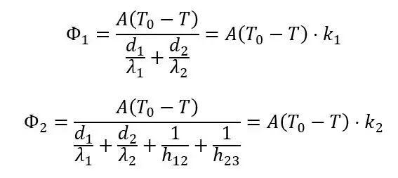
情况一界面温度为Tm。假定情况二空气层很薄,内部温度达到恒定,为T2,介于皮儿内表面与馅儿表面温度T1和T3之间。空气与皮儿和馅儿的表面换热系数分别以h12和h23表示。假定两个体系分别达到稳态,即各个截面(面积为A)的热流量Φ一致。由前面的公式,情形一有
图片
情形二有
图片
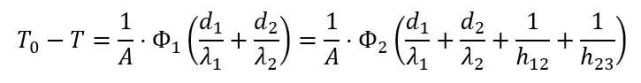
将两组等式中的温度相加,得到关系
图片
因此可得
图片
其中,分母
图片
称为某个体系的总热阻,倒数k1或k2称为体系总的传热系数。可以直观地看出,当存在空气层时,对于有恒定温差的情况由于热阻更大,热流量减小,这会影响对于饺子馅儿的加热
当在滚开的水中加入凉水,可以使得水温骤降,饺子内部的气体遇冷收缩,饺子皮儿与馅儿重新贴贴,对于馅儿的加热会更高效地进行。此外,如果一直保持加热而不加入冷水,加热效率低,饺子馅儿被长时间加热的同时饺子内部空气也在不断被加热,有可能由于过度膨胀而撑破(气炸了.jpg)。
为了更加直观地感受空气层带来的影响,我们取d1= 2mm, d2= 1cm, λ1= 0.13W/(m·K), λ2= 0.45W/(m·K)(纯瘦肉馅儿的,馋不?),此外,由于在自然对流情况下空气的表面换热系数在在h=1~10W/(m·K)左右,取h12=h23= 5W/(m·K)。得到
图片
薄薄的空气层,竟然使得馅儿被加热的效率降低了一个数量级!看来学不好传热,饺子们真的要气炸了!!!
图片
没想到吧,
煮饺子有这么多学问呢~
了解了背后的原理,
今年过年煮的饺子,
每一个都要完整饱满呀!
值此佳节,
再次祝各位读者新春快乐
既然学到了这么多知识,
不妨多吃几个饺子奖励自己一下吧~
图片
参考资料:
[1]杨世铭, 陶文铨. 传热学(第4版) [Heat Transfer][M]. 高等教育出版社, 2006.
[2]常用材料导热系数 (gkzhan.com)
[3]导热系数_百度百科 (baidu.com)
[4]Božiková M. (2003): Thermophysical parameters of corn and wheat flour. Res. Agr. Eng., 49: 157-160.
[5]天然气灶火焰温度_百度知道 (baidu.com)
部分插图及元素来源于千库网
编辑:云开叶落