《张朝阳的物理课》继续讲解氢原子问题 得到波函数的角向部分

1月23日12时,《张朝阳的物理课》第二十二期开播。搜狐创始人、董事局主席兼CEO张朝阳坐镇搜狐视频直播间,继续讨论氢原子问题。上节课已经将氢原子定态薛定谔方程分为径向部分与角向部分,这节课主要求解角向部分的薛定谔方程。
为了寻求角动量平方及z方向角动量的共同本征函数,本节物理课利用分离变量法,将角向部分的z轴转动部分独立出来,剩余部分得到连带勒让德方程,求解连带勒让德方程,并把结果归一化可得到最终的球谐函数,最终解得了氢原子波函数的角向部分,在求解的过程中还发现了量子力学特有的分立性。
图片
“20多堂课听下来,大家都有了一定的基础。现在你们都成了‘高年级’学生,我会讲的更快一点。”张朝阳向直播间里的网友问好,并在小白板上写下:“氢原子问题继续。”从第十六期开始,张朝阳一直再讨论量子力学。“在量子力学里面,我们要做什么?”他讲解道,“找到尽可能多的算符,这些算符是可对易的,可以描述系统的态。在定态的薛定谔方程中,寻找一组可对易的哈密顿算符。要解决氢原子问题,就要做到这些。”
求解波函数角向部分 引出连带勒让德方程
张朝阳首先回顾上节课,将氢原子相对运动部分的哈密顿算符的径向与角向分开,哈密顿算符(H)的角向部分全部吸收到角动量算符的平方(L2)之中,还证明了角动量算符的平方与哈密顿算符对易。现在将波函数也分解为径向与角向部分:
并且要求此角向部分的波函数是角动量算符平方的本征函数,具体的本征方程为:
图片
由于哈密顿量已经被分解为径向与角向部分,那么将上述分离变量之后的波函数代入到氢原子相对运动部分的定态薛定谔方程中,即可将其角向部分分离出去,得出径向定态薛定谔方程:
张朝阳说,这个径向方程与角度完全无关,留到下节课来处理。这节课要把能完成上述薛定谔方程分解的角动量算符平方的本征态给具体求解出来。
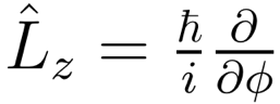
此外,上节课也证明了角动量算符的z分量Lz与角动量算符的平方L2是对易的,并且角动量算符的z分量在球坐标系下有非常简单的形式,只与球坐标系的一个角度有关:
图片
那么又可以考虑把角向部分的波函数继续分解为如下形式:
图片
其中关于角度φ的波函数是Lz的本征函数,对应的本征方程是:
图片
由于角动量算符的z分量在球坐标系下的表示非常简单,其本征函数(未归一化)也非常容易求得为:
图片
形式上看起来像平面波,但又跟平面波不同,因为,在球坐标系中,φ=2π时相当于φ=0,而量子力学的波函数得是连续且单值的,所以有边界条件:
图片
“由此,求得m只能取整数,不能是连续的,这再次体现了量子力学的分立性。”张朝阳指出。得到了角动量z分量算符的本征函数后,角向部分的波函数就可以进一步设为:
图片
代入到描写角动量平方算符的本征方程中,即可得到连带勒让德方程:
图片
图片
(从角向部分薛定谔方程到连带勒让德方程)
得到L2和Lz的共同本征函数 介绍球谐函数及其图像
查阅数学物理工具书,可以马上得到勒让德方程的解,从而得到角动量平方及z方向角动量的共同本征函数。但为了看清角动量是如何分立化的,张朝阳决定把m=0时的勒让德方程解出来给大家看看。他先把方程的解表示成泰勒级数:
图片
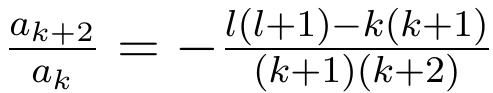
然后代入m=0时的勒让德方程中,可以得到泰勒级数的系数的递推关系:
图片
他解释,“这样可以证明,若l不取正整数的话,这个泰勒级数在x=1时不收敛,得不到方程的解,所以l只能取正整数,此时的泰勒级数是有限项的多项式,这样的解称为勒让德多项式。”
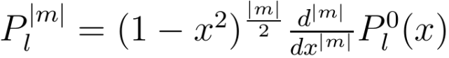
至于m不为零时的解,也可以通过对勒让德多项式多次求导得出连带勒让德多项式:
图片
“m不等于零时,l也是整数。不过,你们谁来帮我证明一下?”张朝阳给直播间里的网友布置了一道有趣的作业。
随后,他进一步推导,若把所求得的Lz的本征函数与L2的本征函数代入回最初分离变量的角向波函数中,并进行归一化,由于连带勒让德多项式是相互正交的,就能得到L2和Lz正交归一的共同本征函数,这个波函数同时也是特殊函数球谐函数:
至此,张朝阳已成功解得氢原子波函数的角向部分,用分立的量子数m与l描述,具体满足的条件是:
图片
为了给大家一个比较直观的物理图像,他还举出几个常见的氢原子角向部分波函数的例子:
图片
(几个氢原子角向部分波函数的例子与图像)
直播尾声,张朝阳告诉网友,“今天终于触摸到氢原子的波函数在角向的分布,讲到l和m的关系,学到了量子化,解开了角向方程。还有一步,下一课讲径向方程。这样就解出氢原子的全貌。”
搜狐视频发力知识直播 传播知识玩转科学
自11月5日至今,《张朝阳的物理课》已直播二十余期。在第一、二课中,张朝阳科普了“力”和“速度”,算出马斯克的飞船和中国空间站每日绕地飞行圈数;第三、四课和“振动”相关,科普可见光的基本知识;第五、六课引发了关于音速和温度的大讨论;在第七、八、九课重温经典物理学的两朵乌云。
第十、十一课重点回顾黑体辐射曲线及其应用;第十二、十三、十四课尝试进入爱因斯坦的思想世界,推导出著名的公式“E=mc²”,并论证钟慢尺缩效应;第十五课讲解了原子的结构和原子核的衰变;第十六课开始进入量子力学,讨论光的波粒二象性、康普顿散射、海森堡不确定性原理,以及薛定谔方程等。
从二十余期的物理课可以看出,《张朝阳的物理课》的直播风格独树一帜——通过观察日常生活现象、用网友最熟悉的话题来提升兴趣,再以公式推导的方式解释其背后的物理原理,“透过现象看本质”,进而反过来解决生活中的类似问题。
张朝阳认为研究自然界是特别有意思的事情,他希望物理课的受众能保有好奇心,“在好奇心驱使下,了解自然界的奥秘,了解我们在这个世界生存的道理”。在后续课程中,他还将继续以这种直播风格解释生活中常见的物理现象,让普通人能够听懂、专业人士也能认可,激发科学学习的热潮。该课程于每周周五、周日12时在搜狐视频直播。同时,网友可以在搜狐视频“关注流”中搜索“张朝阳”,观看往期完整视频回放。
除《张朝阳的物理课》外,搜狐视频也邀请多位通识教育播主,直播科普知识,传递价值。北京交通大学理学院教师陈征博士玩起了“奇趣的科学实验”,走进“光的波粒二象性”;康奈尔大学物理化学博士包坤,化身“包大人玩科学”,教普通人看懂2021年诺贝尔奖;还有天体物理博士刘博洋科普“日全食是怎么产生的”等,近期走红的理论物理博士后周思益,也来搜狐视频开通“弦论世界”直播课。未来,还将有更多知识播主入驻,一起互动玩转科学。