年关难过!29岁的她喝下敌草快,解毒专家:给我个机会劝一劝…

2021年过去了
我们不知是否该怀念它
图片
因为种种原因
一些人,理性而又克制
一些人,疲惫却仍勇敢
不过,总还是有个别人承受不了生活的重压,走了极端
在浙江大学医学院附属第一医院庆春院区
急诊科
一个月内接诊了8例自杀患者
巨额欠债、升学压力、
情感受挫、孤苦无依、精神抑郁
凡此种种
怨憎会,爱别离,求不得
如果把所有这些都丢到死亡的“深井”里
简单,粗暴又快活?
大错特错!
图片
从业20余年,为不计其数“中毒”患者解毒的
急诊科主任陆远强主任医师
想让小编写一写
对这些患者的抢救故事
他说,生命丰盛而有趣
年关难过,其实是要过心中那道“坎”
人生有无限可能,只要活着,就是希望
图片
欠下30万网贷的她,
喝下小半瓶敌草快
“一入网贷深似海,从此明白生死之间,还有另一种活法叫生不如死!”在浙江大学医学院附属第一医院,29岁的小薇躺在病床上虚弱地嘟囔,一旁的妈妈不住地抹眼泪。
经过由陆远强主任带领的急诊科团队与死神一番激烈角逐,小薇侥幸捡回一命。刚被送进急诊时,小薇已经服用50ml农药“敌草快”近6个小时,她抽搐、昏迷、少尿,人像个木偶一般手脚不再听使唤,不停流着哈喇子,滴湿了名牌外套
图片
剧毒农药不仅刺激和腐蚀她的消化道,让她在中毒初期喉咙肿痛、不断呕吐咖啡色的液体,随着病情的飞速进展,后面还出现了严重脑水肾损伤。医护团队立即给予了血液灌流清除血液中敌草快,同时纠正肾衰竭、抑酸护胃肠粘膜、营养支持等治疗……在生死线上徘徊十余天后,小薇终于捡回一条命。
这么大剂量敌草快喝下去,很可能都救不活,小姑娘,你可能不是唯一感觉生活很辛苦甚至活不下去的人,但仍有许多人都经历过艰难至今仍坚强的活着,人有选择生死的权利,但以后你肯定会无比感激当下选择活下去的自己。”陆远强主任在查房时也再三劝慰,视频电话那头6岁儿子的一声“妈妈”,似乎又唤回小薇重生的信念。
图片
陪床的小薇妈妈介绍,他们一家是温州人,小薇是家中独生女,在宁波的一家外贸公司上班。她面容姣好,身材窈窕,一点也看不出是一个6岁男孩的母亲。两年前,小薇和丈夫因感情不和离了婚,孩子由前夫抚养,恢复了自由身的她为了打造“好嫁风”人设——非大牌化妆品不用、不是高档餐厅不吃,每天背着价值不菲的包包、穿着高档时装出入公司,有事没事还要和“小姐妹”彻夜搓麻将、KTV,花钱大手大脚,没钱的时候就借网贷进行各种消费。
渐渐的,她购买的奢侈品越来越多,网络小额贷款的分期平台也变得越来越多,每个月工资只有4千块的小薇,每月要还上万元的网贷。她不是没想过赚钱的办法,但做过微商、搞过保险种种方法,只让自己亏钱亏得更多……小薇妈妈细问之后才知道,人前风光无限的小薇,已经欠了累计超过30万元的贷款。信用卡、白条、花呗加起来10万的额度早就被用完了,还向十几家借贷平台借了近25万的贷款。
图片
年关将至,每天被催债电话“狂轰滥炸”,小薇拿不出钱,也借不到钱,最后选择走上了绝路。喝下农药后,本想一死了之的她实在承受不了剧毒的折磨,打电话向家人求助,最后由家人将她从宁波送往杭州紧急抢救。
一个月8例,
“误服”农药最大70岁最小15岁
2021年12月,仅在浙大一院庆春院区急诊科,接收的农药中毒患者就有8例。他们“误服”的原因多种多样,有考试失利、邻里矛盾、婆媳失和、情感背叛、精神抑郁,并由此引发出“生而为人”的无意义。
图片
12月28日,15岁的可爱女孩妞妞因喝“敌草快”被送来抢救。妞妞今年初二,平时学习成绩中上,因为考试不太理想被老师严肃批评后,用可乐混合着2ml“敌草快”喝了下去,见效果不明显,7个小时后,再次喝下10ml“敌草快”。等到家人发现她中毒并紧急送医时,已经距妞妞第一次口服农药16个小时。
与小薇不同,妞妞说不清到底喝了哪种农药,农药的瓶子也早早被扔掉,专家经过一系列血尿鉴定,才最终明确了毒物来源,因为错过了送医抢救的窗口期,妞妞出现了严重的肾损伤,经过十余天的脱毒抢救,花季少女死里逃生。
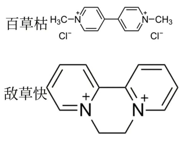
“生命可贵,有些事情一时冲动就没有后悔药吃了。”陆远强主任介绍,浙大一院接诊的农药中毒患者,常见的包括百草枯、敌草快、草铵膦、草甘膦、乙草胺等,其中百草枯、敌草快毒性最高,无论是百草枯还是敌草快,均无特效解毒药。
图片
某购物网站对“敌草快”的咨询
最让急诊科专家痛心疾首的是,在某大型购物网站上搜索“敌草快”,跳出来的全是不同品牌的此类农药,几十块钱就能轻松购买,销量还挺高,产品详情里也都没有任何让人当心误服的警示。还有一些不法商贩为了降低成本,提高毒效,私自把国家明令禁止的百草枯参入到敌草快中进行售卖,这样包装和内容里外不一的农药也害惨了很多一时冲动的人。让专家需要花费更多时间去明确农药成分,采用不同的方式解毒,为抢救带来了极大的困难。
图片
医生强调,任何农药对于人体的危害作用极大,一旦误服或通过皮肤、呼吸道等进入体内,一定、一定、一定要及时地就医,挽救生命
冒出“不想活了”的念头时,
请积极求助
图片
一开始想要写这个话题时,小编非常犹豫
自杀,是生命不能承受之重
它太敏感,也太难以把握
不少人把它当做“忌讳”
因为太过消极与沉重
这就像我们对待死亡的态度
既好奇想要窥探,却又不敢直视
其实,对于青少年来说,由于心智不够成熟,大脑额叶功能也还没有发育成熟,很难控制自己的冲动,加上容易陷入认知误区,觉得只有死亡才能解决问题,会一时想不开做了“傻事”。
也有人,将其作为深思熟虑后的一种选择。解脱、放下、一了百了,在痛苦的日子里自行结束生命、逃避那种不能忍受的生活境遇……这世上,不少人每天都要面对死亡的诱惑,他们在求生欲和死亡的本能之间挣扎却无人知晓。
“自杀是一种复杂的个人行为,有时候甚至是社会行为,并受到社会、文化、政治、经济等各方面因素影响,绝不仅仅是所谓的‘脆弱’,也不能简单地认为是抑郁症等心理疾病导致的。对于每个个体的自杀,都要具体问题具体分析。”浙大一院精神卫生科心理治疗师胡婵婵介绍,自杀行为其实包括3个阶段:自杀意念、自杀企图和自杀行为
01
自杀意念
代表有想法,但未付诸实践;
02
自杀企图
意味着可能会真正开始做计划,包括买药、去高楼踩点等;
03
自杀行为
采取自杀行为致死。
从萌发自杀意念,到真正开始着手计划、准备甚至尝试,其实需要经历内在的挣扎。面对自己萌生“不想活了”的念头时,专家也开出这几道“心灵处方”:
图片
心灵处方
一、承认自己有这种想法,是开始自我疗伤的第一步。 大部分人意识到自己不想活下去的时候,通常会觉得自己懦弱或者对自己失望,其实面对就是一种勇敢。
二、寻求专业帮助。自杀是一个极其复杂的行为,仅靠自己很难克服,所以专业的帮助非常重要,要到大型三甲医院的精神卫生科、或找专业的心理咨询师积极进行心理咨询与心理干预,并坚持治疗。
三、同信赖的家人、朋友谈自己的感受。也可以尝试和亲友同住或深度接触,往往是种放松和减压,让他们“被迫”把注意力从自己的问题转移到对方身上。
您还可以尝试在微信上登录在国务院客户端小程序上线的“全国心理援助热线查询”功能,根据个人需要点击想要查询的省份,可以查询到地方心理援助热线;也可以点击“高校热线”查询各个高校的心理援助热线(还可以在搜索框中直接输入高校名称进行查询);
图片
人生不如意之事十之八九
也许当你爬坡过坎时,会有些撑不住
但是谁又没有过,想一了百了的时候呢?
这时,千万别放弃自己
世界并不奖励一味的孤勇
君子藏器而深
这一刻深陷低谷或是高歌猛进都不重要
把时间维度拉长到十年、拉长到一生
就会发现
面对生活中再大的困境和难题
也都由“时间”去解决
生活只会苦一阵子,不会苦一辈子
活着永远会有希望
2022年
希望不灭、信念永存
图片