《AFM》:透明、耐火气凝胶!可使太阳能-电力转换效率提高约10%

随着‘3060’目标的推进,太阳能作为一类重要的可再生能源,也将参与重塑能源未来。在众多清洁能源中,太阳能发电是最经济实惠的一种,我国是世界上光伏发电第一大国。在太阳能发电中,特别需要高温来驱动先进的超临界二氧化碳(sCO2)动力循环,这种循环比目前使用的蒸汽朗肯循环更高效、更紧凑,因此,开发具有高太阳吸收率和低热发射度的接收器,能够承受700°C以上的温度,可以实现更多模块化和更便宜的聚光太阳能热发电(CST) 。
鉴于此,美国密西根大学Neil P. DasguptaAndrej Lenert设计了一种透明的耐火气凝胶,由于在硅气凝胶的高宽比孔隙中使用共形单周期原子层沉积(ALD)合成了耐火硅酸铝相,从而在高达800°C的空气中可以维持稳定的性能。这种透明耐火气凝胶在100个太阳照射下的接收效率为75%,吸收器温度为700°C,比目前的技术水平提高了5%。特别是,在保持较高的接收效率的同时,转向更高的工作温度,可以使用先进的超临界CO2动力循环,最终将太阳能-电力转换效率提高约10%。相关工作以“Transparent Refractory Aerogels for Efficient Spectral Control in High-Temperature Solar Power Generation”发表在《Advanced Functional Materials》。
图片
图1 用于太阳热技术的透明耐火气凝胶
【耐火材料气凝胶组成及表征】
使用三甲基铝(TMA)和去离子水作为前驱体,用ALD单循环改性亲水(端羟基)硅气凝胶的表面,制备透明的耐火气凝胶。为克服均匀覆盖气凝胶和涂层沉积的难点,该团队开发了一种多剂量准静态模式ALD工艺,能够对超高宽高比孔隙(> 60000:1)进行保角改性,并具有良好的前驱体利用率。在ALD过程中,出现了相对大块氧化铝的分化和大量的Al-O-Si单元的形成,这些Al-O-Si键是TMA与羟基化无定形二氧化硅自终止反应的预期产物种类,由于其非常高的比表面积,显著地改变了气凝胶的整体组成,从而改善了其物理和化学性能。
经表征,气凝胶中纯氧化硅的组成由原来的纯氧化硅转变为硅铝比≈3:1,铝含量在整个气凝胶体积中是均匀的,耐火气凝胶粒子外表面的结合环境类似于已知的铝硅酸盐。重要的是,即使在高温退火后,耐火气凝胶也是无定形的
图片
图2 硅铝气凝胶化学的形成
【热稳定性提高】
接下来,通过观察气凝胶在800℃下老化14天前后的物理性能和两种不同温度下的气凝胶随老化时间的线性收缩来考察耐火气凝胶的热稳定性改善情况。结果发现ALD改性稳定了耐火气凝胶的高介孔结构,这种结构稳定性的提高使得老化耐火气凝胶的室温导热系数(≈30%)低于硅基气凝胶,并且,耐火气凝胶具有优越的长期稳定性,可能适合在800℃的温度下操作。
图片
图3 气凝胶的热稳定性
ALD改性提高了热稳定性可能归因于动力学、热力学和机械效应的作用。与硅气凝胶相比,铝-硅气凝胶在干燥过程中收缩更小,烧结阻力更好。硅气凝胶的烧结通常归因于在高温下固体网络的粘度降低,这允许结构松弛和表面扩散,靠近表面的硅酸铝的形成可能抑制了底层二氧化硅的运动。此外,研究发现耐火气凝胶保持了在CST应用中长期使用所必需的高透光率
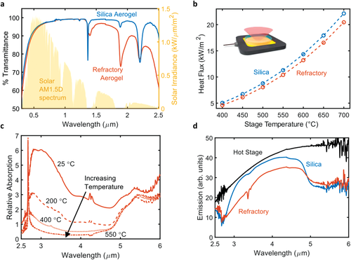
【老化耐火气凝胶的光学和隔热性能】
高温老化和700°C运行后的光学和热性能决定了气凝胶在CST应用中的性能。老化的二氧化硅和耐火气凝胶具有几乎相同的太阳能透过率。而且老化的耐火气凝胶比其硅溶胶更有效地抑制热损失。此外,ALD改性对热不透明度和减少热损失有正面影响。特别的是,这种耐火气凝胶的富铝表面具有很强的吸水能力,使它在高温下也很稳定。这可能是由于不饱和(三配位)表面铝位的强路易斯酸强烈地吸附水,抑制辐射损耗。在耐火气凝胶中观察到高温可能导致去羟基化,但暴露在潮湿的空气中可以再生亲水基。总之,即使是一个ALD循环也可以显著改变多孔基质的疏水性/亲水性温度依赖性的水吸附导致耐火气凝胶在较低温度下吸收更多的红外辐射。
图片
图4 老化耐火气凝胶的光谱学和传热性能
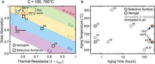
【接收器性能】
耐火气凝胶在空气中老化,而且比同类产品的老化时间要长得多。该耐火气凝胶在700℃下时效10天,受热效率为75%,这高于所有报告的系统测量的发射率。而且,耐火气凝胶的透明度(94%)高于选择性表面的吸收性(,导致更高的接收效率。耐火气凝胶提高了热稳定性,再加上它的高接收效率,通过使用更高效率的sCO2动力循环,有可能将太阳能-电力转换效率提高约10%。此外,气凝胶表现出压力无关的热阻低于10 mbar,这可以使成本更低的接收器设计,不需要高真空水平和/或帮助保持性能,通过避免与真空故障相关的问题。
图片
图5 700℃下计算的接收器效率与相应的老化条件的比较
【小结】
综上所述,该研究向我们展示了一种耐火气凝胶,它克服了硅气凝胶的热稳定性限制,同时保持了其关键功能特性,即高太阳透过率和高热阻。此外,其高温下的结构稳定性得到改善并且可以获得迄今为止最高的接收效率。由于透明耐火气凝胶隔热材料在高温下的稳定性能,它有潜力开启模块化、高效率太阳能热电厂的发展,可以实现以更低的成本提供可再生能源。
https://onlinelibrary.wiley.com/doi/10.1002/adfm.202108774
来源:高分子科学前沿
声明:仅代表作者个人观点,作者水平有限,如有不科学之处,请在下方留言指正!