《你想不到的“励志公式”神解读》

很多老师都用1.01365和0.99365和这个数学模型来激励学生坚持每天进步,可这个模型跟实际相符吗?
数学问题,那就用数学来反驳。看看下面这些神解读,你能到第几层?
我们以下面这两行等式作为起点:
1.001365=1.44
0.999365=0.69
01
如果你说,每天努力一点点,一年后你就能和怠惰了一点点的人有很大的差距,那么,我只能说,你在第一层。
02
而有些人,在第二层:我们同样知道,1.22=1.44
这说明,努力了一年和我考前突击两天,效果大致相同。
03
但你没想到,我还有第三层:如果你考前突击的方向是错误的,也就是“虚的”,那么(1+0.2i)2=0.96+0.4i,这说明考试时你非但不能提高成绩,你之前能蒙对的也对不了了。
04
你更想不到有人在第四层:同样的,考虑(1+0.001i)365=0.934+0.357i,这说明如果你平时就是在胡乱操作,那么第三层发生的情况会更加危急。
05
第五层的都有“精神分裂”?
06
第六层的大哥马上决定反向操作:(1-0.3i)3=0.73-0.873i
建议发疯一天,学习一天。
(1+0.2i)(1-0.2i)=1.04,这告诉我们劳逸结合非常重要!
07
图片
(1+0.001i)(365*86)=1.0155-0.0263i
咱们学校,有个学长,留级了86年,就是为了进步1%。
什么,有人一天就能进步1%?!
学长当场脑溢血……
08
图片
第八层的这位同学,我只能讲:
图片
09
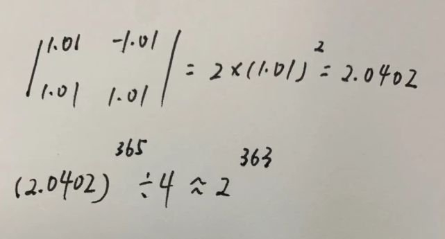
第九层的同学学习了行列式的知识,从微积分来到了线性代数:
图片
图片
只是……
算完行列式之后只有一个数……
大概率是不能平分的诶……
只能有三个傻掉还有一个是学神!
10
如果是这样的话建议所有人都好好学习,行列式的结果就会是0。
所有人都能学疯,这波是伤敌八百,还就那个自损一千!
11
我已然写了第十层,从第11层开始(时间先后顺序)
说实话这条我看到很久了,但是不知道怎么回复......
12
图片
13
那我就在第13层了:cos0.1°≈0.999998
所以考前突击得多吃肉,没毛病。
14
第14层的大哥好像在打假赛:
图片
1/0.69=1.45(不过差不多)
Emmm……
掌握方法:倒立学习
(这是人能摆出来的学习姿势咩?)
15
第15层的大哥非常牛:
图片
事实上我不知道把这个放到第15层是否稳妥。
因为最开始我觉得八元数是他乱讲的。
结果:八元数_百度百科上还真有,他可不是乱讲的。
复变,元数,训练有素!
16
第16层的就开始“走火入魔”了,先是要求打穿任督二脉的:
还有直接修仙了的:
图片
咱们这是数学问题啊,不要总想搞其他“奇奇怪怪”的东西。
17
第17层的同学是未来的体育之星,贯彻了清华的传统:
图片
我觉得不对,应该是20*(1+0.001)365=28.8s
我虽然速度不快,但是我花的时间长啊!
图片
18
我呢,我在第18层,我要配合一下14层的大哥。
这个故事告诉我们,倒立跑步,跑得更快!这波国家体育总局不聘请我做教练?
19
第19层的同学表示:
图片
图片
虽然他前面说的我没看懂,但是如果我“添腹亿饼”,我1分顶别人100分。
20
我选择直接退学(bushi)
“你,只在第二层;而你把我,想成了第一层。实际上,我在第五层。”——danshafaker
我不会告诉你们我是因为一时半会没想到第五层怎么说被迫退学的。
“退学”是个梗啦!“形而上学,不行退学”。
21
最后,说一下关于应该用加法来论证“每天进步”的讨论。
其实用加法和用乘法的讨论都合理,因为如果真要建立这样一个评价性模型,其实也是比大小,不过用幂次肯定是要修正的,连续幂次的增长确实很恐怖。
而且乘法有一个很好的训诫意义:
无论你之前做了什么,做了多少,不管实部多少,虚部多少,都是有的,它们都会在特定场合表现自己的能力。
但要是有一天,你乘了0,那可真就什么都没了。
多琢磨琢磨,还有很多事值得你去做呢。乘了0,那可就回炉了。
我愿把这个,放在大气层。
22
所以,聪明的你在第几层?
聪明的你又能往上盖几层?欢迎大家在评论区展示自己的脑洞。
图片
原标题:用1.01的365次方和0.99的365次方论证要每天进步,这个模型和实际相符吗?
来源:原点阅读、知乎@元直
编辑:Eric