学得浅碎不如无——四元数、矢量分析与线性代数关系剖析

|作者:曹则贤
( 中国科学院物理研究所 )
本文选自《物理》2020年第10期
Never mind when.1)
——Sir William Rowan Hamilton in 1859
摘要四元数是哈密顿对二元数,即复数,的推广,其成功开启了近世代数的大门。哈密顿将四元数的纯虚部称为vector,汉译矢量。由三维世界矢量的四元数乘积引入了点乘和叉乘的概念。麦克斯韦从泰特那里学会了四元数,针对微分矢量运算发明了散度和旋度的概念,三分量的普通四元数世界矢量被麦克斯韦和亥维赛德用于电磁学的表述,于是有了我们今天熟悉的麦克斯韦方程组的形式,吉布斯和亥维赛德由此各自独立地发展出了矢量分析。矢量分析是对严谨的四元数代数的实用主义裁剪,用处是明显的,危害也是巨大的。乱糟糟的∇点乘-叉乘让电-动力学成为大多数物理类学生的噩梦。泰特为捍卫四元数进行了艰苦卓绝的斗争,但结果还是矢量分析大行其道。哈密顿追求建立一般的多重代数,吉布斯试图将三维矢量分析推广,加上格拉斯曼创立的线性展开的学问以及佩尔斯创立的线性结合代数,于是有了线性代数。差不多同时期诞生的矩阵理论、格拉斯曼代数和克利福德代数同它们都有亲密的内在联系,也都是物理表述的数学基础。弄清楚四元数、矢量分析和线性代数背后的代数学知识和相互间的关系,普通物理教科书中的数学表述可能就不那么令人迷惑了,也能理解为什么电-动力学里的矢量叉乘又叉乘怎么在量子力学里——据说波函数也是矢量——咋就不见了。顺便说一句,矢量之所以是矢量在于它所遵循的代数结构,它无需有方向、甚至也可以没有长度。
关键人物Hamilton, Tait, Maxwell, Heaviside, Cayley, Gibbs, Grassmann, Peirce, Clifford
01
一头雾水的电-动力学符号
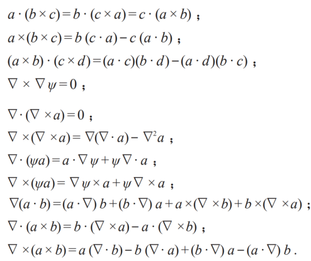
笔者愚鲁,大学物理成绩惨不忍睹,其中又尤以电-动力学2)一门为甚。有句俗话,说“没哭过长夜,不足以言爱情”。套用这句俗话,笔者想说“没为乱糟糟的 ∇ 点乘-叉乘公式怀疑过人生,不算学过电-动力学。”笔者当年纯粹是为了求生才不得已死记硬背过那些莫名其妙的公式,至于它们有什么数学含义、对应什么物理图像、有何道理可言,笔者完美地继承了课本作者和授课老师的茫然无知。为了增加大家的恶心直视感,现将 John David Jackson 著《经典电-动力学》 (这本国际上流传甚广的电-动力学教科书,Classical Electrodynamics, 3rdedition, John Wiley & Sons, Inc. (1999),我给高度差评!)一书里的所谓 vector formulas 附录照录如下:
图片
对于三维位置vectorx,有 ∇ ∙x= 3;∇ ×x= 0。
上表中的a,b,c,以及x,是vector。一般《电-动力学》教科书里都会列这个表,我猜是为了方便读者查找。那为什么要方便查找呢?当然是因为就知道你不明白也记不住啊!这大概是一般《电-动力学》教科书作者的预设立场。有趣的是,这些作者一般也不告诉我们这里讨论的是特定的三维vector而不是线性代数里的任意维vector,也不是量子力学中的波函数ψ那种取复数值但模总为1的vector,两个波函数组成的二分量怪物是旋量但老是被误以为是矢量。至于这里的∇点乘-叉乘公式来自这种特定的三维vector自身的代数性质,在这类书中更是不见蛛丝马迹。值得警惕的是,一般(英文)书中会把vector定义为既有长度又有方向的量,故有汉语矢量的说法和英文的 arrow notation,更是错得离谱。矢量属于这样的集合,其中任意两个元素a1,a2的线性叠加λ1a1+λ2a2,λ是属于某种数域的标量,都在这个集合里,即该集合对于线性叠加是闭合的。至于vector是否有模(长度),两个vector之间能否定义夹角(方向),那可不一定。
上面所列公式,学问上属于矢量分析(vector analysis)的范畴。由于笔者没学过代数学的基础,更没学过近世代数(modern algebra),因此对上述公式除了按照所给模样死记硬背以外,别无他法。如果有点代数基础的话,人们会发现上面的公式问题多多。首先,注意到有两种乘法,一种是对易的,a∙b=b∙a;一种是反对易的,a×b= -b× a 。既然涉及反对易关系,这得是一种特殊的非交换代数了。再看看公式a×(b×c) =b(c∙a)-c(a∙b) ,公式里的括号很重要,它在强调这个表达式是非结合的(non-associative),a×(b×c) ≠(a× b)× c。也就是说,这个矢量分析涉及非交换的(non-commutative)和非结合的计算,那还不步步是陷阱啊。注意到由于一般教科书作者也不知道这些公式的意义,因此当右侧出现四项的时候就不知道该如何放置才好了。比如,前述公式里的 ∇×(a×b) =a(∇∙b)- b (∇∙a) +(b∙∇)a-(a∙∇)b, 若我们知道具体某项的来源与意义,写成 ∇×(a×b) =(∇∙b+b∙∇)a-(∇∙a+a∙∇)b的形式就容易明白的多,右侧各括号里的加号来自微分算符的性质,中间的减号来自叉乘的反对易性质,一目了然。
在第一次接触到上述电-动力学公式列表的许多年后,笔者注意到此处的矢量只是矢量这个概念的特例ai+bj+ck,乃是 ordinary quaternion world vector (普通四元数世界矢量),它和四元数这种特殊的超复数(hypercomplex number)有继承关系,也和线性代数有内在的关联。弄清楚了四元数、矢量分析、线性代数之间的关系,以笔者有限的物理见识,可以断言大学普通物理里的许多内容都会变得明晰可爱起来。比如,电磁学中麦克斯韦方程组的微分形式,刚体的转动表示与角动量,量子力学里的自旋,相对论量子力学的旋量表示,你都可以在四元数——那是矢量分析的母体——里找到内在的、一致的当然也是简单的理解。
02
哈密顿、复数与四元数
人们在解一元三次方程的时候,会遇到根号下出现负数但又不能一扔了之的问题(解一元二次方程时可一扔了之),于是不得不保留了负数的平方根。引入作为单位虚数(错,应该是 ii = -1),z=a+bi这类结构的数称为复数。大约在1830年,25岁的爱尔兰数学家、天文学家哈密顿(Sir William Rowan Hamilton,1805—1865.就是Hamiltonian里的那个哈密顿,见图1)认为把复数写成一个实数加一个虚数的做法是有误导性的。笔者当年也注意到复数加法 (a+ ib) +(c+ id) =(a+c) + i(b+d)里的加号意义不一样,但也就到此为止,不敢质疑也没有能力质疑【怪我咯!】。哈密顿认为z=a+bi里的这个加法符号只有形式意义,关于复数重要的是它遵循的算法而不是你把它表示成什么样子。比如我们可以把复数表示成矩阵的形式,,它遵循与复数同样的加法和乘法,可以表示二维平面的几何。把复数写成矩阵,则模为1的复数,其矩阵一般形式为z=,这就是二维空间的转动变换哦,复数乘积就有表示二维平面内转动的功能。当然,这样的形式还和保角变换有关系、还联系着哈密顿方程和辛几何(symplectic geometry),等等,此处不提【感慨:不要小瞧你一年级时学过的加法,那里面有太多的东西你听都没听说过】。总而言之,哈密顿意识到复数是一种遵循具体算法的具有两个元素的数而已,写成(a,b)即可,他将之称为代数偶素(algebraic couple),现在也叫二元数(binarion)。
图1 哈密顿爵士,一个笔者认为其数学和物理成就均高于牛顿的人
复数,或者叫二元数,代数偶素,是个非常有力的数学概念,除了用于解代数方程还能描述二维空间转动。可我们生活在三维空间啊,哈密顿想到,应该构造triplet,三重数或者三元数,来描述物理空间里发生的现象。仿照二元数,三元数z=a+ ib+ jc,有两种虚部 i2= j2= -1 ,看似没有多少难度。然而,求三元数的乘积时会出现ij和ji项,这是新元素,带来了新问题。令 ij = ji = 0 或 者 ji = -ij 都消除不了任意三元数乘积以及任意三元数模平方乘积中出现的问题。这让哈密顿很苦恼,相关研究反反复复地放下又拾起,转脸13年过去也未能毕其功。
1843年10月16日,哈密顿脑海中灵光一现:如果是四元数的话,很可能会使得数的乘积和数模平方的乘积也分别具有数和数模平方的形式。也就是说他需要研究的是z=a+ ib+ jc+ kd形式的数,为此需要引入第三个虚数 k2= -1,此三个单位虚数满足关系 ij = k,jk = i,ki = j;ij = -ji,jk = -kj,ki = -ik【记住这两个关系,这是矢量分析重点要继承的关系】,i2= j2= k2= ijk = -1。构造三元数和四元数,放弃根深蒂固的乘法交换律是关键一步,确实需要勇气和胆识。后来我们知道,哈密顿想要的是具有除法的三元数,根本就不存在,四元数的代数才是除法代数——除法代数只有实数、二元数、四元数和八元数这四种情形,此为Hurwitz定理。两个四元数的乘积还是四元数,用这个性质可以轻松证明任意两组四个整数平方和之积还是四个整数的平方和——这就是个演算而已,都不能算证明。
四元数的纯虚部,即r=xi +yj +zk,可以描述三维空间,哈密顿称其为vector (汉译矢量。再次提请注意,此处的vector是数!),确切地说是ordinary quaternion world vector,普通四元数世界矢量3)。我们要牢记r=xi +yj +zk 这样的矢量是实部为零的四元数,还不是什么有方向的量。计算(xi +yj +zk)(ai +bj +ck) =-(xa+yb+zc) +(yc-zb)i +(za-xc)j +(xb-ya)k,可见矢量的四元数积包括实部(哈密顿给起了个名字scalar,汉译标量)和矢量部分,哈密顿将之分别称为矢量的点乘(标量积)和叉乘——这是哈密顿构造出四元数的当天得到的结果。上式的矢量乘法用到了四元数之虚数的性质 ij = k,jk = i,ki = j,这反映的就是所谓的三维空间矢量叉乘的右手定则。矢量叉乘的A×B= -B× A 性质其实就来自四元数乘法的规则 ij = -ji, jk = -kj,ki = -ik这个和排列(permutation)的正负符号交替,求矩阵值时表达式里的正负符号交替都有关。1846年,哈密顿甚至引入了
符号。我们看到哈密顿实际上有了后来的矢量分析的全部内容(he could manage the full panoply of quaternion operations with ease),但是,哈密顿是有哲学素养的、严谨的数学家,牺牲数学的优雅与严谨去迎合物理实用的事儿他干不来,他可舍不得为自己的四元数弄个不伦不类的简化版。换了你,你也舍不得——把大家闺秀当烧火丫鬟使唤的,那得是个粗人!科学,尤其是应用科学的发展,或许需要这样的粗人,当然不能粗到不怜惜数学的程度。
哈密顿关于四元数的思想,见于他的两本书Lectures on the quaternions和Elements of quaternions(图2),后一本本来打算是作为前一本的简化版的,结果越写越深、越写越厚,哈密顿对数学的态度由此可见一斑。更多内容,请参阅拙作《磅礴为一》和《云端脚下》4)中关于复数、四元数与哈密顿的相关章节。
图片
图2 哈密顿的经典著作《四元数原本》
03
麦克斯韦、吉布斯、亥维赛德与矢量分析
哈密顿有位亲学生苏格兰人泰特(Peter Guthrie Tait,1831—1901,图3),其是著名的数学物理学家、热力学的创始人之一5)。泰特当然是四元数的强烈拥护者,是四元数的传播者,写过Treatise on quaternions. 泰特有个同班同学叫麦克斯韦(James Clerk Maxwell,1831—1879),麦克斯韦从泰特那里学到的四元数,当然明白四元数的物理意义,故他支持四元数。麦克斯韦1871年曾撰文On the mathematical classification of physical quantities(论物理量的数学分类),笔者以为,这篇论文是科学史上的重要文献——多少电磁学、电-动力学文献根本不懂麦克斯韦,误把E,B当成了同样的数学对象了!麦克斯韦指出,哈密顿把四元数之虚部的乘积结果分为标量部分和矢量部分具有重要的物理意义!麦克斯韦甚至认为四元数是朝向获得关于空间的量的知识迈出的一大步,可同笛卡尔引入坐标系相媲美。许多物理现象有相似的数学表达,如果关注这些数学形式,就能对物理现象有更好的理解6)—— 不得不说,麦克斯韦是真有洞见的物理学家。麦克斯韦接着讨论哈密顿的微分矢量算符∇,造出了 convergence 和 curl,即作用于另一个矢量的点乘和叉乘,这两个概念。麦克斯韦看到的是哈密顿的世界矢量表示空间里的物理现象的优点,而非是简单的计算方法“…but it is a method of thinking…It calls upon us at every step to form a mental image of geometrical features representedby symbols!”
图片
图3 泰特
在麦克斯韦看来,四元数表示电磁学现象比用坐标更直接,这样数学就能更多地解释电磁学的特性。麦克斯韦的方案是同时使用坐标和四元数,即双语(bilingual)方案。这么做的一个不方便的地方是,按照四元数的约定,矢量同自身的点乘(模平方)是负数,但是用坐标表示时那得是正数,这有点儿拧巴。用麦克斯韦自己的话说,这整个儿是 plough with an ox and an ass together (用牛和驴配套犁地)。嗯,这句话笔者作为庄稼人秒懂。
矢量分析的发明人是美国人吉布斯(Josiah Willard Gibbs,1839—1903)和英国人亥维赛德(Oliver Heaviside,1850—1925),见图4。吉布斯,就是吉布斯自由能的那个吉布斯,统计物理奠基人之一,他创造了统计物理这个词儿,Made his field a well-nigh finished theoretical structure。亥维赛德把复数引入电路分析,故对将四元数用于物理没有任何心理障碍,当前形式的麦克斯韦方程组就是他写出来的,这是矢量分析的一大成就!这两个人都是在阅读麦克斯韦1873年的Treatise on electricity and magnetism(电磁学论)时,有感而发,认为有简化或曰裁剪四元数以供表述电磁学的实际需求,最后各自独立地发展出了矢量分析。阅读麦克斯韦著作的吉布斯注意到,对于电磁学来说用不着保留整套的四元数代数,在1888年的一封信里他表明他决心发明矢量分析体系。吉布斯说他看出来就电磁学而言,矢量的点乘和叉乘保持在一个式子里不是个好主意(这一点上吉布斯错了。严格的数学才能导致正确的物理),他把叉乘和点乘当作两个独立的矢量操作。吉布斯于是构建了具有两种乘法的矢量分析,以及微分算符∇对标量和矢量的不同作用。吉布斯的灵感也是来自哈密顿本人的著作以及泰特的著作Treatise on quaternions(论四元数)7),但根本上还是麦克斯韦的思想。吉布斯的Elements of vector analysis(矢量分析基础)一书1881年面世,但到1901年才正式刊行,由其学生 Edwin Bidwell Wilson 编辑出版。同一时期,亥维赛德也是受麦克斯韦著作的影响在英国发展了矢量分析,于1881年和1883年以The relations between magnetic force and electric current(磁力与电流的关系)为题发表了关于矢量分析的建议,系统的矢量分析在他1893年出版的Electromagnetic theory(电磁学理论)一书的卷一里。亥维赛德是在1888年听说美国人吉布斯也发展了矢量分析的。
(三维物理空间的世界)矢量分析是出于表述电磁学、电-动力学的需要对四元数的实用主义裁剪,它带来了一些便利和发展。但是,因为矢量分析是对严谨的四元数代数的实用主义裁剪,因此它的危害也是巨大的。众多的一团浆糊似的电-动力学教科书和众多笔者这样的学电-动力学却学了一脑子浆糊的人,就是证据!
四元数满足普通数和二元数的交换律以外的所有代数运算规则,最重要的是它有除法。但是,剔出其中的矢量部分作为单独的数学体系,问题可就麻烦喽:(1)矢量有点乘和叉乘两种乘法(甚至被有些人误以为是独立的),且结果性质还不一样,原则上它们都不是矢量啊(学物理的容易明白,两个同样对象的乘积,其量纲和自身就不一样,它必然是不同性质的物理量!),叉乘的结果只是在三维空间碰巧因为对偶关系可以当作矢量而已8);(2)矢量叉乘不满足结合律,这是大事情,是四元数没有的大问题;(3)矢量没有除法;(4)矢量模平方不满足模平方乘积的恒等式;(5)矢量不为零但叉乘可能为零(太可怕了!),这是代数最要避免的东西。这些问题都是因为(普通四元数世界)矢量只是四元数的局部,故有叉乘的可能性,而一般意义下的矢量就没有叉乘运算了。比如,量子力学里的波函数可当作矢量,但没有波函数的叉乘。后世的电-动力学教科书作者不理解那里面的(普通四元数世界)矢量及其算法的来源和性质,越抄越乱。
到了1893年,拥护四元数的人和拥抱新的矢量分析者之间的矛盾就冒出来了。作为四元数创始人的学生以及四元数研究者的数学家泰特,将矢量分析称为hermaphrodite monster——不男不女的怪物!这话,真没错。泰特一人两线作战,分别支应四元数对坐标的战场和四元数对矢量分析的战场。在1890年On the importance of quaternionsin physics一文中,泰特赞扬“四元数的自然特质。它以最显而易见的方式越过坐标的任意性直接解释了空间的物理特性(naturalness of quaternions which removed the arbitrariness of coordinatesand reveal the physical properties of space in themost obvious way)”。四元数是mode of representation (表示的模式)。当四元数后来成为算符表示转动的时候,这一点就更清楚了。泰特把坐标比作大锤,有活儿得拿到锤子那儿去干,而四元数可比作象鼻子,灵活,啥活都能干,而且是主动式的。四元数是自然的!在他的Treatise on quaternions的第三版序言中,泰特认为吉布斯是“one of the retarders of quaternion progress (四元数进展的主要迟滞者)”,现在看来,不幸被他言中。大量的物理系学生不懂四元数因而也就弄不清楚矢量分析里的代数思想当然就只能去死背公式的电-动力学课本,这极大地阻碍了电-动力学的教学!
而在另一方,亥维赛德因为自己是会四元数的,所以对四元数代数没有任何负面评价,他只是认为四元数太难懂了,只能被 consummately profound metaphysicomathematician (学识极度渊博的形而上数学家)理解。但是,几何学家凯莱(Arthur Cayley, 1821—1895)就不那么客气了,他宣称四元数只是一个使用坐标的特殊方法或者理论而已,对他来说四元数只能算是特殊的计算或者解析几何。凯莱是代数大家,他怎么可能不知道四元数的伟大意义呢(这可是近世代数的开山之作),他对四元数代数的这个态度,让笔者捉摸不透。其实,四元数与矢量分析之争也是比较奇怪的事儿。(普通四元数世界)矢量分析脱胎于四元数虚部的乘法,特殊的地方不过是微分算符,按说它们不该成为互为敌对的两种方法。据说,因为矢量分析更直接贴近物理问题而为物理学家们所拥护,这话如今看来也未必有道理。首先矢量分析有内伤,学起来也很麻烦;至于更贴近物理问题,那得看是什么物理问题。描述转动还是得用四元数!
补充一句,因为除法代数只有二元数、四元数和八元数,因此矢量叉乘只对三维矢量成立;如果放弃结果唯一性要求的话,对七维矢量也存在叉乘。其它维度空间里对应矢量叉乘的操作,是外积。
04
格拉斯曼、佩尔斯与线性代数
哈密顿从二元数,即复数,出发去构造triplet,结果落到了quaternion上。作为一个被形而上学武装到牙齿的抽象派学者,哈密顿也一直寻找 polylets of ever higher dimensions (更高维多重数)。在哈密顿发展四元数的同时,将矢量拓展到高维线性空间的可能性由格拉斯曼(Hermann Gunther Grassmann,1809—1877,语言学家,数学家,物理学家)取得了进展,这体现在他1844年出版的《线性展开的学问》(Die lineale Ausdehnungslehre,Wiegand,1844)一书中(图5),此乃是线性代数的鼻祖!1862年,格拉斯曼还出版了《展开的学问-完备严谨版》(Die Ausdehnungslehre. vollständig und in strenger Form begründet,Enslin,1862)一 书。然而,由于追求抽象、严谨,格拉斯曼的书也是只有无畏的数学家能读,故其书出版后30年里几乎无人问津。格拉斯曼愤而退出数学界,专心研究语言学。格拉斯曼认可数学是形式的理论,他用最一般和最抽象方式研究空间里的带方向的线(directed lines in space)。格拉斯曼著作的目的是将几何抽象化。注意,带方向的线,这个形象后来被赋予给了vector一词,甚至成了vector的标准解释,这也是汉语矢量一词的由来。我愿意再强调一遍,vector作为字,是携带者的意思,作为数学概念它可不是什么既有大小又有方向的量:vector的性质由它所遵循的线性运算法则来定义,它可以没有方向、甚至没有长度!此外,格拉斯曼还为我们提供了格拉斯曼代数,满足1∙ξ=ξ;ξ∙ξ= 0 ,你看出来了,这可以用来描述费米子。
图片
图5 Grassmann和他的《作为数学新分支的展开学》(部分版本有“线性的”一词,为线性展开学)
吉布斯在1881年出版Elements of vector analysis一书时是读过格拉斯曼的著作的。吉布斯矢量分析里的某些矢量性质,并不局限于三维矢量。哈密顿,格拉斯曼和吉布斯,他们的研究都指向 multiple algebra (任意多重代数)。但是,凯莱认为多重代数始于美国人佩尔斯(Benjamin Peirce, 1809—1880,图6),这也是一个热情的四元数支持者。佩尔斯1870年就写成、在1881年正式出版了《线性结合代数》(linear associate algebra, Johns Hopkins University Press, 1881)一书,在1855年还出版过analytical mechanics(分析力学),可见其受哈密顿影响至深。佩尔斯认为“the greatest value of the square root of minus one was its‘ magical power of doubling the actual universe, and placing by its side an ideal universe, its exact counterpart, with which it can be comparedand contrasted, and, by means of curiously connecting fibres, form with it an organic whole, from which modern analysis has developed her surpassing geometry!’ seelinear associate algebra, p.216—217”. 在《线性结合代数》这本书里,佩尔斯总结了那时的所有超复数和小于7个单位的线性结合代数。吉布斯1886年发表过名为Multiple algebra的文章,1887年凯莱也发表了同名文章。Erdehnungslehre, vector analysis, multiple algebra,和multiple associate algebra,这些思想汇集到一起,我们上大学时都要学的 linear algebra(线性代数)这门学问于是水到渠成。
图片
图6 佩尔斯
说起线性代数,必须提到矩阵一词。线性代数的关键词是 linear transformation (线性变换),它是 multiple algebra 的根。线性矢量的变换常用一个矩阵表示。一般科学史认为矩阵一词由凯莱于1858年提出,吉布斯认为凯莱1858年的文章Memoir on thetheory of matrices的基础其实已经见于1844年格拉斯曼《展开的学问》了!实际上,1844 年,艾森斯坦 (Gotthold Eisenstein, 1823—1852) 发表的Allgemeine Untersuchungen über die Formen dritten Grades(关于三次式的一般研究)一文也包含矩阵的思想,这是艾森斯坦于1843年夏拜会哈密顿以后发表的,而哈密顿就是被同他的谈话给吓到了,才全力以赴捡起他多次放下的triplet研究从而于当年10月16日发明了四元数的。其实,象Block ofn2quantities,代数方程组的判别式,函数变换的雅可比判别式,都容易让人想起矩阵,或者说就是矩阵。
有趣的是,自1890年以后物理学家接受了矢量分析,作为矢量分析之母体的四元数却被弃置道旁(有个成语买椟还珠像是专门为此准备的)。笔者读完十年大学都没接触过四元数。Sir Edmund Whittaker (1873—1956)于1940年曾呼吁复活哈密顿的四元数,当时也没有多少响应。然而,四元数里的深刻数学与物理怎么可能会被埋没呢?哈密顿当年就对四元数的价值深信不疑,它是关于自然的反映,它一定会带来更多的数学与物理。我们就慢慢等着看好了。Never mind when,哈密顿1859年对泰特这样说。其实,哪用等多久,克利福德(Willian Kingdon Clifford,1845—1879)代数的出现,作为四元数作用对象的旋量的提出,立时就让四元数在电磁学和经典力学以外发现更神奇的应用,让物理学家不得不认真学习四元数9)。至于由四元数开启的发明代数对象和代数规则给数学带去的影响,笔者不懂,不论。
05
多余的话
哈密顿第一个去掉了加在自然数之上的代数限制,打开了通往近世代数之门。去掉这些限制(交换律、分配律、结合律)的代数学的发展,让我们更加深刻地认识了这些限制的性质。这事儿很哲学,也启发笔者认识到太多的事物是在失去以后我们才意识到它的存在的。代数反映数的形式、结果与运算逻辑,它是自然的,必然见于物理世界。或者反过来说,欲弄明白那些描述物理的数学,认真学一下代数这门最基础的、小学一年级就开始学的学问,可能对我们大多数人来说还是有必要的。吉布斯于1886年在Multiple algebra一文中写过一句很煽情的话:“We begin by studying multiple algebra. We end, I think, by studying MULITPLE ALGEBRA!”嗯,俺们开始时学的是 multiple algebra,我们收工时发现学的是 MULITPLE ALGEBRA!若是笔者大一的时候读过这句话,恐怕学电-动力学时也不会放任自己一脑糊涂酱吧。
面对前述电-动力学教科书里的矢量分析公式列表,笔者当时的直觉就是,这玩意儿一定不对!让笔者伤心又欣慰的是,笔者的直觉是对的。这玩意儿到底是哪儿来的,它怎么得以流行以及其得以流行的理由是什么,它的内在缺陷和危害有哪些,我们又该如何自救?这些问题,在荒废了许多年的大好时光以后,笔者才算有了一点点粗浅认识。笔者在此分享出来,希望能有助于未来年轻人学习物理、数学,当然也包括别的一些领域。关于知识的学习,学得浅碎不如无。可是,在不同的初期阶段人们毕竟是跟从老师学习的,这老师的水平就显得至关重要了。因此,针对老师我更想说“教人浅碎不如无”。天下之大,能糊口的职业多了去了,误人子弟的事情并不是非干不可。一个人,若是选择了当教师的职业,就不要指望“以其昏昏使人昭昭”的奇迹。一年级小孩的算术也许只需要教 [4 ×(3 + 2)- 6] ÷ 7 = 2 ,但老师如果修过非交换代数、非结合代数甚至非交替代数,那用前述式子教出来的小孩的前程可能就不一样。有人可能说啦,哪能教那么多呢?我不太同意这种观点。作为至今有了48年上学经验的老旧小学生,我个人认为学习应该采取“牛吃草”的战略。牛吃草,是先足足地吃一肚子再说,有空的时候通过反刍慢慢消化。知识不是线性的结构,也唯有在多知道,尤其是要多知道高深学问的框架大略,的前提下才能互相比照印证最后达成消化的效果。也许确实不可以一味追求多教,但是这不是用来掩盖教师知识储备严重不足的借口。教育的主要矛盾,永远是学习者无限强烈的求知欲同教育者少得可怜的知识储备之间的矛盾。
老师,论能力也许我只能爬上村后的小土坡,可我依然希望你能带我去看珠穆朗玛。
2020.05.01劳动节于北京
图片
注:
1)何必在意是啥时候!这是哈密顿关于其所发明的四元数啥时候有用所说的一句话。是啊,好的数学总会有用处的,它只需静静地等待它的时代的到来。
2)Electrodynamics,不是电动-力学,是电-动力学。它不是力学(theory of force, Kraftslehre). 中文语境中所谓的“四大力学”是对物理的歪曲。
3)后来相对论里的世界线之类的概念,就来自于此吧?
4)预计2020年底、2021年初出版。
5)在中文的热力学世界里没人理他。
6)这大约是麦克斯韦夸奖托马斯·杨的话。
7)吉布斯曾在欧洲游学三年,但绝不是方鸿渐式的人物。
8)有兴趣的读者请参考几何代数。
9)学点四元数后会发现J. J. Sakurai 的量子力学好理解一些。再说了,会四元数至少对教电-动力学有用啊。
来源:中国物理学会期刊网
编辑:槿知