林丹也看不懂的羽毛球运动最强秘诀,学会了你就是大神!

图片
引言
熟悉林丹和李宗伟的都知道,羽毛球是一项激(基)情四射的体育运动。2020 年 7 月 4 日,世界羽坛名将林丹正式宣布退役。
林丹是羽毛球史上第一位集奥运会、世锦赛、世界杯、苏迪曼杯、汤姆斯杯、亚运会、亚锦赛、全英赛、全运会及多座世界羽联超级系列赛冠军于一身的双圈全满贯选手,被誉为中国羽球一哥,是世界羽毛球最知名的明星球员。尽管如此,林丹可能仍然看不懂本文。
图片
要是说“林丹是地球上最会打羽毛球的男人”,应该没有人反对擅长物理的韩同学可能会第一个不服!
图片图 3: 擅长装逼的学霸:打羽毛球基本靠心算
已经被保入清华物理系的韩同学表示:羽毛球运动是一个比较简单的抛体模型,当对手击球后,通过观察羽毛球的速度和角度,并用手去感受风速,再考虑空气动力学的修正,通过快速的心算就可以大概判断出羽毛球的落点,再选择合适的动作回击。尽管我感觉到韩同学可能在装逼,但机器人确实得靠芯算才能打羽毛球。
图片图 4: 确实得靠芯算才能打羽毛球的机器人
实际上,羽毛球的运动并不简单。由于羽毛球独特的结构(圆锥形,头重尾轻),羽毛球在飞行过程中会出现翻转、振荡和旋转等独特的行为。例如,运动员在使用球拍拍击球头后,羽毛球都要翻转后继续向前飞行(图 5)。本文将建立羽毛球飞行的动力学模型 [1],研究羽毛球运动的特征,为广大羽毛球友科学地装逼提供指南。
图片图 5: 羽毛球被球拍击中后迅速翻转
简史
在建立模型之前,本文先介绍一下羽毛球的历史。早在两千多年前,一种类似羽毛球运动的游戏就在中国、印度等国出现。中国叫打手毽,印度叫浦那,西欧等国则叫做毽子板球。十九世纪七十年代,英国军人将在印度学到的浦那游戏带回国,作为茶余饭后的消遣娱乐活动。在 14 世纪末,日本出现了把樱桃插上美丽的羽毛当球,两人用木板来回对打的运动。这便是羽毛球运动的原形。
图片图 6: 古代中外与毽子和羽毛球相关画作 [2-4]
现代羽毛球运动诞生在英国。1873年,在英国格拉斯哥郡的伯明顿镇有一位叫鲍弗特的公爵(dukes of Beaufort),在他的领地开游园会,有几个从印度回来的退役军官就向大家介绍了一种隔网用拍子来回击打毽球的游戏,人们对此产生了很大的兴趣。因这项活动极富趣味性,很快就在上层社会社交场上风行开来。“伯明顿”(Badminton)即成为羽毛球的英文名字。羽毛球于 1992 年巴塞罗那奥运会上被列为正式比赛项目。装逼指南:要熟知以上羽毛球的起源、历史和文化,这可以作为装逼时的谈资。比如当见到心仪的女球友拿着羽毛球时,你可以这样夸赞她:“你拿羽毛球的样子真美,如果法国的夏尔丹在世,一定会重绘一幅《拿羽毛球的姑娘》(图 6 右)”。记住,在说“夏尔丹(Chardin)”时一定要用纯正的法语口音。
图片图 7: 现代羽毛球运动场地、球拍和羽毛球
现代羽毛球运动通常是两人(单打)或四人(双打)的球场运动。标准球场长 13.4 m,宽 5.2 m,被高 1.55 m 的网分隔成两部分(图 7 左)。比赛时,运动员站在各自的球场上,通过球拍击打羽毛球,从而使羽毛球越过网并落入对手的半场。羽毛球过网之前,每侧只能击打一次。一旦羽毛球落地或运动员犯规,则该球结束并计分。羽毛球比赛通常采用“21 分制,3局2胜”,一场完整的羽毛球赛持续 1 小时左右,每局持续 20 分钟左右,每球持续 10 秒左右。如图 7 右所示,羽毛球由 16 根羽毛构成的球裙和软木球头组成,其质量 m = 5.3 g 左右,长度 L = 10 cm 左右,直径 D = 68 mm 左右,羽毛夹角 $Λ=45 度左右 [5]。装逼指南:要记住羽毛球场和羽毛球的这些参数,在适当的时候准确的报出这些数字,能瞬间提高逼格,引起异性球友的关注
实验
大量文献从实验、理论和数值角度对羽毛球的运动轨迹进行了广泛的研究 [6]。图 8 是一次实验中拍摄到的羽毛球运动轨迹,快照间隔为 50 ms,羽毛的初始速度为 58 m/s,出球角度(初速度与水平方向的夹角)为 52 。
图片图 8: 羽毛球运动轨迹 [6]
从图中可以看出,开始羽毛球几乎以直线飞行,并快速减速,在轨迹顶部速度最小,然后在重力作用重新加速,最终以恒定速度 6.7 m/s 垂直下落。显然这并不是一条伽利略抛物线:羽毛球的轨迹并不具有对称性,其射程(图中显示约为 9 m)远小于预期(以相同速度和出球角度,按照理想抛物线计算约为 240 m)。这种不对称性和射程的减小是由空气阻力引起的。
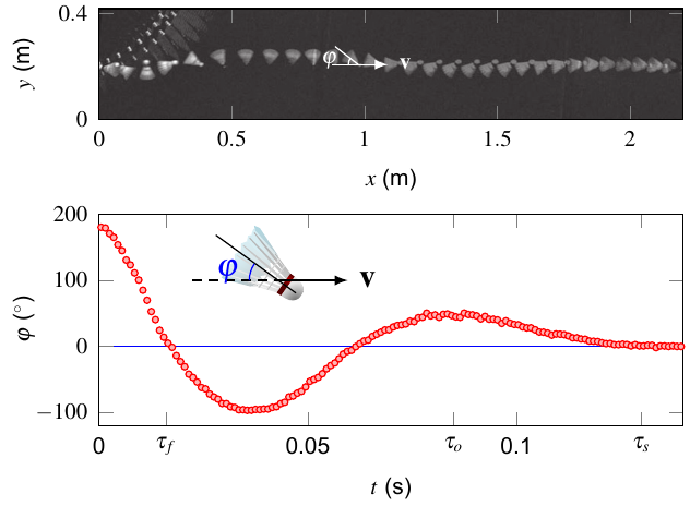
也有少量文献研究了羽毛球在飞行过程中的翻转 [1]。图 9 显示的是一次实验中羽毛球与球拍碰撞后,球轴与速度方向的夹角 φ 随时间的演变。快照间隔为 5 ms,初始速度 v0 = 18.6 m/s,初始翻转角速度为 w = 206 rad/s。
图片图 9: 羽毛球离拍后的角度与速度夹角 [1]
从图中可以看出,与球拍接触后(约 1 ms 的时间), 羽毛球经过 tf = 15 ms 的时间, 球轴方向发生 180 的翻转。然后,球轴以速度方向为平衡位置进行阻尼振荡,直到球轴与速度方向一致为止。振荡时间 to = 85 ms。 经过约 ts = 130 ms 后, 球轴与速度方向一致。
模型
为了分析羽毛球的运动特性,需要对作用在羽毛球上的力加以分析。羽毛球被球拍击中后,主要受到重力 mg 和空气阻力的作用。在引入空气阻力之前,我们首先介绍一下流体力学最重要的概念之一,雷诺数:
图片
其中 ρ表示流体(空气)密度,μ表示流体动力粘度, v是物体(羽毛球)相对流体的速度,D 是物体的特征长度。雷诺数实际上是流体的惯性力与粘性力比值的量度,雷诺数较小时,粘性力对流场的影响大于惯性力,流场中流速的扰动会因粘性力而衰减,流体流动稳定,为层流;反之,若雷诺数较大时,惯性力对流场的影响大于粘性力,流体流动较不稳定,流速的微小变化容易发展、增强,形成紊乱、不规则的紊流流场。在羽毛球运动中,雷诺数大约在 10000 到 200000 之间,属于典型的湍流区。若假设羽毛球在运动的过程中,迎风截面积不变,则空气的阻力可以表示为
图片
上式中右侧负号表示阻力方向与相对速度方向相反。 ρ为空气密度, S 为羽毛球的截面积,v为羽毛球的速度矢量, |v| 为速度大小, Cd 是阻力系数。实验表明,在上述雷诺数范围内, Cd 几乎是常数,大概在 0.6 到 0.7 之间 [7,8]。上式表明,物体在空气(流体)中受到的阻力大小正比于迎风横截面积和相对速度的平方。这很容易理解,生活中有很多例子,例如骑自行车速度越大感受到的风阻也越大,专业自行车选手会通过压低身体来减小迎风截面积。
图片图 10: 骑自行车受到空气的阻力与车速,迎风横截面积相关
轨迹
为了像学霸一样能够判断出羽毛球的落点,我们需要讨论羽毛球的宏观轨迹。从图 9 的实验中可知,羽毛球在被击出之后,其朝向会迅速掉头,经过很短的震荡过程后朝向会与速度方向保持一致。因此,其迎风的截面积在绝大部分时间内是不变的。通过上文空气阻力的分析,可知羽毛球的质心运动方程
图片
由 dv/dt =0 可以确定出羽毛球的最终下落速度
图片
如果将羽毛球的运动限定在 x-z 平面中,则羽毛球的质心运动方程可改写为
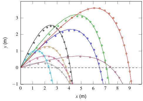
其中点点x 、点 x 分别表示水平方向坐标 x 对时间的一阶导数(速度)和二阶导数(加速度)。应用 MATLAB 中的 ode45 函数对以上微分方程组进行数值积分可求得羽毛球的轨迹。在本文的计算中,我们取羽毛球的质量 m = 5.3 g,截面积 S = 36 cm^2,阻力系数 Cd = 0.63,空气密度ρ=1.2 kg/m^3。图 11 为实验(点)和计算(线)得到的羽毛球运动轨迹。
图片图 11: 实验和计算得到的羽毛球运动轨迹
结果表明,计算给出的不同初速度和出球角度的轨迹曲线与实验拍摄到的轨迹点非常吻合。这也证实了在研究羽毛球的轨迹时,可以忽略羽毛球在运动的过程中迎风截面积的变化。计算所使用的程序见附录。
此外,我们通过轨迹的计算,还可以获得不同速度大小和出球角度的羽毛球射程。计算结果如图 12 所示,所使用的程序见附录。
图片图 12: 羽毛球射程与初速度和角度的关系
图中每条曲线上的最高点表示该初速度下最大射程对应的出球角度(最大射程角)。可以证明,在忽略空气阻力的情况下,出球角度为 45 度时射程最大。而有空气阻力时,初速度越小,羽毛球受空气阻力影响越小,最大射程角越接近于 45 度。初速度越大,最大射程角越小。羽毛球的最高飞行速度可达 170 m/s [9],容易算出该球速下的最大射程约为 15.5 m。因此,羽毛球不太容易飞出长度为 13.4 m 的羽毛球场。这也是羽毛球平均每回合击球数高达 13.5 次的原因。而网球平均每回合击球数只有 3.5 次 [10]。网球的最高射程高达 67 m,这远大于只有 24 m 长的网球场。装逼指南:这提醒我们装逼要注意科学性,千万不要说出类似“我一拍能打出 16 米”这样有失逼准的话。羽毛球的质心运动方程具有解析解 [11],该解析解可以给出近似的射程
图片
其中L= 2m/(ρS Cd) 为空气动力学特征长度。上式表明,羽毛球的射程取决于初速度 v0 和角度θ 的大小。我猜测学霸应该就是通过对类似公式进行心算来估计羽毛球落点的。从质心运动方程可以看出,羽毛球的轨迹和射程还与空气的密度相关。而空气的密度又取决于温度 T 和相对湿度 δ [12]:
图片
其中空气相对湿度 0
图片图 13: 羽毛的微观网状结构
实验表明,羽毛球质量(单位:g)随空气相对湿度线性增加:
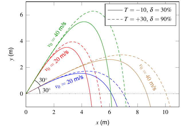
考虑北方的冬天(假设温度为 -10,相对湿度 30%)和南方的夏天(假设温度为 30,相对湿度 90 %)羽毛球的飞行轨迹,计算结果如图 14,所使用的程序见附录。
图片图 14: 气温和湿度对羽毛球轨迹的影响
北方冬天和南方夏天空气密度可相差 15%,并最终导致羽毛的轨迹和射程有明显差异。因此,运动员在不同季节和不同地区打球,可不单是身体适应了温度和湿度的变化就足够了的。这个结果同样也解释了为何部分选手在打羽毛球之前需要蒸球。装逼指南:提前查看天气预报并记住温度和湿度,根据公式计算出空气密度和羽毛球质量。在打球时,就可以“指导”迷妹们如何用呼吸感受湿度、皮肤感受温度,来修正羽毛球的轨迹和落点
翻转
羽毛球在飞行的过程中,还会出现翻转和振荡微观行为。从图 5 和 9 的实验中可以看出,迎面飞向运动员的羽毛球都是球头朝前。当运动员使用球拍击中羽毛球球头后,球轴朝向会发生 180 度的翻转。
图片图 15: 不同角度的羽毛球受力示意图
羽毛球的这种翻转的行为其实是羽毛球的独特结构导致的。如图 15 所示,羽毛球的质量主要集中于球头,而球裙的羽毛却贡献了大部分截面积。因此,空气阻力的作用中心和羽毛球质心显然不会重合,这会对羽毛球形成一个净力矩,使羽毛球头部朝向其运动方向转动。尽管图 15d 所示的情况也属于平衡态,但这种平衡是不稳定平衡,极小的气流扰动就能够迅速的破坏这一平衡,使之朝着图 15b 或 c 的情况转变,并最终变为稳定平衡状态(图 15a)。
图片图 16: 羽毛球受力分析图
图 16 左是对羽毛球的受力分析,其飞行速度为v,重心为 G, 空气阻力的作用中心为 P,球轴与速度夹角为 φ。为了方便分析,我们将羽毛球简化为图 16 右所示的两个圆球。 B 球表示球裙,其截面积为 SB,质量为 mB。 C 球表示球头,其截面积为 SC,质量为 mC。由角动量定理可以推导(过程见附录)出羽毛球以速度方向为平衡位置的振动方程
考虑到羽毛球重而小的球头和大而轻的球裙,即 SB*mC >> SC*mB。以及由质心的定义可知 mB L_=m_C L_。并假设 vB 和 vC 约等于 v,则上式可化简为
图片
其中 w0^2 = ρSB Cd v^2/ 2m L_,tau_s = 2m_B(1+m_B/m_c)/\rho S_B C_d v。上式是一个阻尼振荡方程,描述了羽毛球以运动方向为平衡位置的振动。角频率的平方项 w0^2 对应于空气阻力产生的稳定力矩,而阻尼项 1/\tau_s 则来源于角度变化产生的垂直羽毛球运动方向的速度对应的阻力。应用 MATLAB 中的 ode45 函数可对以上振动方程和质心运动方程进行耦合求解,图 17 是通过计算得到的羽毛球自由下落过程,模拟所使用的程序见附录。
图片图 17: 羽毛球自由下落的计算机模拟
根据振动方程,我们可以估算出羽毛球运动的一些特征时间。实验表明(图 9),羽毛球翻转的时间小于稳定时间。因此在考虑翻转时间时,可以忽略上式中的阻尼项。考虑到初始条件:翻转角度和角速度分别为 π 和 点φ0,对上式进行积分有
图片
则羽毛球翻转时间可表示为
图片
羽毛球振荡时间可表示为
图片
羽毛球的稳定时间为
图片
我们取参数 mC=3.0 g、mB=2.3 g、SB = 36 cm^2、Cd = 0.63,L_=2 cm 和 ρ=1.2 kg/m^3,从而可以计算出 w0=66.6。代入上式可得羽毛球翻转时间 tf=14 ms,振荡时间 to=94 ms 和稳定时间 ts=127 ms。这和图 9 实验给出的翻转时间 15 ms 左右、振荡时间 85 ms 左右和稳定时间 130 mm 左右非常吻合。
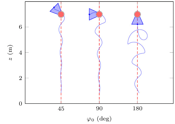
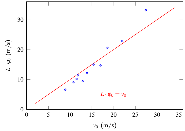
此外,初始条件中的初始速度 v0 和初始翻转角速度两者并不独立。图 18 表明羽毛球初始翻转角速度和球裙长度之积 与羽毛球的初速度 之间存在非常强的线性关系。换句话说,羽毛球的初速度越大,其初始翻转角速度也越大。
图片图 18: 初始角速度与初始速度的关系
前面讨论了羽毛球在受到球拍击打后的翻转。在大多情况下,这种翻转在对方球员接球之前就已经完成。只有当羽毛球的稳定时间与总飞行时间相当时,羽毛球的翻转才会对对方球员造成影响。假定羽毛球在 1 m 的竖直高度上以 15 度角击出,图 19 给出了该种情况下羽毛球的稳定时间与总飞行时间之比ts/t0 随羽毛球射程 x0/Lfield的变化(计算程序见附录)。
图片图 19: 羽毛球的稳定时间与射程关系
其中射程被除了球场长度 Lfield = 13.4 m 来进行归一化。从图 19 可以看出,只要水平身程大于 1.7 m(相应的初速度大于 3 m/s),羽毛球稳定时间与总飞行时间之比就会迅速下降。即对方球员在接球之前,羽毛球的朝向就已经基本与飞行方向一致。这同样也意味着,对于近网球,你不能简单的假定自己在回击时,羽毛球的球头是正对着自己飞过来的。
图片图 20: 近网球情况下,羽毛球的翻转
另外,稳定时间的计算是建立在羽毛球被正常击打的前提下的,那么搓球无疑会进一步增大翻转对于羽毛球运动的影响。装逼指南:可以通过控制球速(通常出球速度小于 3 m/s)来延长羽毛球的翻转、振荡和稳定时间,让对手无法击中羽毛球球头
旋转
羽毛球除了会翻转之外,也会绕着中心轴旋转。如图 21 所示,各片羽毛并不是平摊成一个正多边形,而是以一个小角度 β相互叠在一起形成一个螺旋形。
图片图 21: 穿过羽毛球的流线图及旋转示意图
同风车、电风扇叶片等类似的结构一样,当空气相对于羽毛球向后流动时,空气会在垂直羽片方向施加作用力(图 21)带动羽毛球旋转。平衡时,羽毛球以一个稳定的角速度旋转。该角速度下空气施加在羽毛上的推进力矩和摩擦力矩相等,即
图片
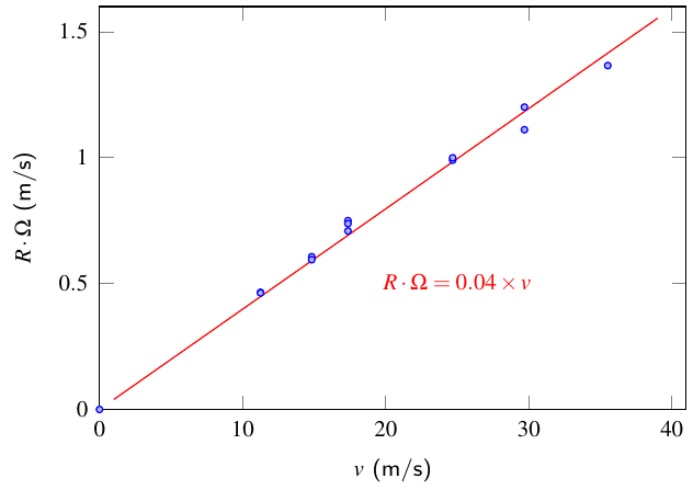
其中 Sp 为羽片面积。实验表明 RΩ
图片
这表明羽毛球的旋转角速度 Ω 与飞行速度 v 存在线性关系。如图 22 所示,实验数据的拟合验证了这种线性关系的存在。'
图片图 22:羽毛球旋转角速度与飞行速度的关系
这种旋转会对羽毛球的运动产生什么样的影响?是否会因为旋转,离心力将羽毛向外甩开,造成羽毛球有效截面积的增大?实际上,由于风阻的作用,羽毛还会受到一个向内的压力。风洞实验表明 [1],无论羽毛球是否旋转,其阻力系数基本保持不变,即旋转对阻力系数没有显著影响。此外,羽毛球的旋转是否会产生明显的进动,并且有助于其稳定朝向呢?进一步研究证明,羽毛球绕对称轴的转动惯量太低,以至于转动与平动速度比 ΩR/v 过小而根本起不到稳定朝向的作用。这种效应只在羽毛球的翻转运动中才会有一定的贡献。装逼指南:羽毛球的旋转对羽毛球的运动没什么明显的影响,但由于旋转与球速存在正比关系,对于迎面飞来不太方便观测速度的球,可以通过球的旋转反推出球速,从而选择合适的反击策略
结果
前文中,我们建立起了羽毛球的质心运动方程、球轴的振动方程以及旋转与飞行速度的关系。接下来,我们将应用 MATLAB 中的 ode45 函数对质心运动方程和球轴振动方程进行耦合求解,由于羽毛球的旋转对其飞行没有显著影响,这里不再考虑。图 23 和 24 是初速度为 50 m/s、初速度角为 50 度的羽毛球运动的模拟结果。
图片图 23: 羽毛球运动的模拟
图片图 24: 羽毛球翻转角度随时间的变化
模拟所使用的参数为:球头和球裙质量分别为 mC=3.3 g 和 mB=2 g,直径分别为 dC=3.2 cm 和 dB=6.8 cm,羽毛球质心与球头质心的距离 L_=2 cm。模拟所使用的程序见附录。模拟结果显示,羽毛球在飞行的初始阶段翻转和振荡得比较厉害,而后逐渐趋于稳定,后期羽毛球朝向基本与飞行速度一致。这和我们之前的分析和实验观测一致。装逼指南:打羽毛球时带上笔计本电脑,每打完一局休息阶段,可用本文提供的模型和程序对比赛中的每一球进行复盘。必要时,可向心仪的异性球友演示模拟结果,并专注地看着模拟动画说出类似这样的话:果然和我心算的结果一样,刚才那球要是出球角再增加 5 度,出球速度再下调 2.3 m/s 就更完美了。
结论
羽毛球的动力学及其对比赛的影响一直倍受关注。由于羽毛球独特的结构(圆锥形,头重尾轻),使得空气阻力的作用中心和羽毛球质心并不重合。这导致了羽毛球在飞行过程中会出现翻转、振荡和旋转等独特的行为。本文通过理论和模拟对羽毛球独特的行为进行了研究,并为科学的装逼提供了宝贵的意见:
- 要熟知羽毛球的起源、历史和文化,这可以作为装逼时的谈资。
- 要记住羽毛球场和羽毛球的参数,在适当的时候准确的报出这些数字。
- 装逼要注意科学性,千万不要说出违反物理规律、有失逼准的话。
- 提前查好参数,做好计算。打球时,就可以演示如何用呼吸感受湿度、皮肤感受温度,来修正羽毛球的轨迹和落点。
- 可以通过控制球速来延长羽毛球的翻转、振荡和稳定时间,来让对手无法击中羽毛球球头。
- 可通过羽毛球的旋转来反推出球速,从而选择合适的反击策略。
- 可用本文提供的模型和程序对比赛中的每一球进行复盘,并向球友演示复盘后优化的结果。
提示:本文的装逼指南仅适用于羽毛球打的好、数学物理又不差的人。如果羽毛球打得很烂,又强行装逼,往往只会显得画蛇添足。羽毛球打得好的人,不仅体力好,脑子也快。这样的人一般很讨人异性喜欢。我一陈姓师弟,就因为羽毛球打得好,现已迎娶白富美球友,走向人生巅峰。要是再让他学会此装逼指南,必定是如虎添翼。不说了,我要喊他来学装逼指南了。
参考资料
[1] Caroline Cohen, Baptiste Darbois Texier, David Quere, and Christophe Clanet. The physics of badminton. New Journal of Physics, 17(6):063001, 2015
[2] Wikipedia contributors. Jianzi — Wikipedia, the free encyclopedia, 2020: https://en.wikipedia.org/wiki/Jianzi
[3] Wisual Art Encyclopedia. Three beauties playing battledore and shuttlecock, 2011: https://www.wikiart.org/en/utagawa-toyokuni/three-beauties-playing-battledore-and-shuttlecock
[4] Wikipedia contributors. Girl with a racquet — Wikipedia, the free encyclopedia, 2018: https://en.wikipedia.org/wiki/Girl_with_a_Racquet
[5] Wikipedia contributors. Badminton — Wikipedia, the free encyclopedia, 2020: https://en.wikipedia.org/wiki/Badminton
[6] Baptiste Darbois Texier, Caroline Cohen, Guillaume Dupeux, David Quere, and Christophe Clanet. On the size of sports fields. New Journal of Physics, 16(3):033039, 2014
[7] Alison J Cooke. Shuttlecock aerodynamics. Sports Engineering, 2(2):85–96, 1999
[8] Firoz Alam, Harun Chowdhury, Chavaporn Theppadungporn, and Aleksandar Subic. Measurements of aerodynamic properties of badminton shuttlecocks. Procedia Engineering, 2(2):2487–2492, 2010
[9] Guillaume Laffaye. Comprendre et progresser au badminton: les axes de progression, la technique, les situations. Chiron, 2011
[10] R. Stubbs. The Sports Book: The sports, the rules, the tactics, the techniques. Dorling Kindersley, 2013
[11] Caroline Cohen, Baptiste Darbois-Texier, Guillaume Dupeux, Eric Brunel, David Quéré, and Christophe Clanet. The aerodynamic wall. Proceedings of the Royal Society A: Mathematical, Physical and Engineering Sciences, 470(2161):20130497, 2014
[12] Wikipedia contributors. Density of air — Wikipedia, the free encyclopedia, 2020: https://en.wikipedia.org/wiki/Density_of_air