“从爱因斯坦质能关系式推出勾股定理”之荒谬

本文作者是葛惟昆教授。葛教授为香港科技大学的荣休教授,清华物理系的教授,现为北大客座教授。获得葛教授的授权发表此文。
一, 故事的由来1
最近关于人民教育出版社义务教科书八年级数学《自读课本》(以下简称“教科书”)的“勾股定理与爱因斯坦质能关系式”的匪夷所思的勾连,引起物理界一阵感叹。勾股定理与爱因斯坦质能关系式在
图片
科学上都是重量级的发现,而把它们勾连在一起,也可以算是这本号称“教科书”的编者们的相当惊人的发现。教科书的封面就以勾股定理作图,可见它的编者们是拿这件事很以为傲的。
爱因斯坦本人在11岁时还真地给出一个勾股定理的证明,于是想象力丰富的编者就杜撰了下面的故事:
图片
图片
“2005年事爱因斯坦建立相对论100周年。 爱因斯坦在相对论中提出了一个著名的质能方程 E = mc2,其中E表示物质所含的所有能量,m 是物质的质量,c 是光速。这个质能方程是现代制造核武器、核电站的理论基础。”到这儿,没大毛病。接下去:
“据说,勾股定理也曾经引起了这位伟大的物理学家的浓厚兴趣,”这也没错。然后:“与众不同的是,爱因斯坦是用相对论来证明勾股定理的。”读到这儿,笔者不由惊出一身冷汗。相对论可以证明勾股定理,How?这怎么可能呢,怎么有关联呢?学了这么多年物理竟然不知这等妙闻?有趣的在下面,这个“证明”原来如此:
“假设直角三角形的三条边为a, b, c,过直角顶点做斜边 c的垂线段(如图)。
图片
看到这里,不禁拍案叫绝,原来爱因斯坦质能关系式可以用来算直角三角形的面积!原来质能关系式中的光速 c ,可以就是直角三角形的斜边长度 c 。这种类比真是异想天开,匪夷所思。为了让故事更吸引人,教科书继续编造:
“爱因斯坦这个证明发表以后,震惊了国际数学界,大家发现相对论原来有这么大的威力。后来德国著名的数学刊物‘Mathematische Annolen’聘请爱因斯坦去做了多年的主编。”
好一个完美动听的故事。爱因斯坦发表过这样的证明吗?他因此而震惊了国际数学界了吗?物理界和数学界的朋友们听到这里都目瞪口呆:谎言就这样明目张胆地写入堂而皇之的官方教科书里?
二,爱因斯坦对勾股定理的天才论证2
图片
事实又是如何呢?爱因斯坦证明过勾股定理还真是历史事实,但那是他11岁时的天才萌发,离他发明相对论还有15年之久,谈何以相对论证明勾股定理?一本著名的科学史著作《分形、混沌和指数律(Fractals, chaos, power laws)》,论述了勾股定理(西方称之为毕达哥拉斯定理)的由来,其中介绍了爱因斯坦的证明。
那一节的题目就是爱因斯坦的名言:“我要稍微想一想(I will a little think)”。这个稍微想一想,发生在爱因斯坦11岁学习欧几里得几何学时。他那时已经有了追求简约的思想风格,因此觉得欧几里得关于毕达哥拉斯定理的证明是不必要的繁复(如果你认真看看欧几里得最初的证明,那里有若干条辅助线,一定会同意爱因斯坦的看法)。
于是只经过简单的思考( a little thinking),爱因斯坦给出了一个十分简洁的证明,只需要一根辅助线。这根辅助线把原来的三角形分成两个,显然这两个小三角形和原来的大三角形彼此相似。如果大三角形斜边长度为c , 两个直角边长度分别为 a 和 b ,则 a 和 b 分别成为两个小三角形的斜边长度(见图)。
图片
图片
多么巧妙而简洁的证明,出自一位11岁少年之手。细心的读者可能会发现,这里真出现了类似相对论质能关系式的公式:Ec = mc2 ,于是“教科书”大加发挥,说成是爱因斯坦用相对论的质能关系式证明了勾股定理。这些编辑绝对是没经过大脑,也不想想在上面的勾股定理证明中,m 只是个无量纲的常数而不是质量,c 是个长度而不是光速, E 也不是能量而是面积。两者之间的关系,除了表面形似,可以说风马牛不相及! 让人不得不佩服编辑们的想象力!
三,勾股定理的各种传奇证明2
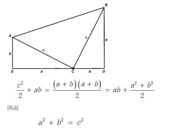
至于震惊了国际数学界,更是一个神话。勾股定理的证明从公元前400多年,至今2600 多年,有无数智者徜徉于其中寻求乐趣。就连一位后来当了美国总统的加菲尔德先生,也给出一个颇为聪明的证法(见图),后被戏称为总统证法。
如图所示,三角形ABC的面积是 c2/2, AEB 和 CBD 两个三角形面积都是 ab/2。这三者面积之和为直角梯形 ABED 的面积 (a+b)(a+b)/2。因此
图片
这个证明也颇有新意,说明这位后来的美国总统确实智力过人。
总而言之,勾股定理自古至今堪称人类智慧的一个大赛场,包括吸引了11岁的爱因斯坦,但是无论如何,与相对论无关,与质能关系式完全无关。
四,相对论质能关系式3
那么相对论智能关系式又是何方神圣呢?让我们引述张天蓉在《上帝如何设计世界:爱因斯坦的困惑》的介绍:
“爱因斯坦善于‘从一团乱麻中寻找出最重要最核心的东西’,他天才地在狭义相对论中导出了描述能量质量关系的质能公式:E = mc²,… 这个公式已经深入人心,是人类历史上最有名的公式之一,已成为人类文化的一部分。”
图片
“狭义相对论中,3维空间被4维时空所代替:(t,x,y,z),质能关系表明了静止质量m和其内禀能量的关系。它表明物体相对于一个参照系静止时仍然有能量mc²。反之,在真空中传播的一束光,其静止质量是0,但由于它们有运动能量,因此它们也有所谓因运动而具有的‘相对论质量’。… 这个等式所描述的不是质量和能量的互相转化,而是表明了质量能量是同一个东西,物体的质量实际上就是它自身能量的量度。”
质量和能量这种关联,不但是物理学的重大飞跃,也是哲学上非凡的突破,是人类认识史的一个里程碑式的发展。
图片
五,结语
关于这个勾股定理与质能关系式的纠缠故事到此可以落幕了。“教科书”的编者们现在感到尴尬,于是发了个声明,表示“确有文献记载爱因斯坦在少年时,曾运用相似、利用两个小直角三角形的面积和等于大直角三角形的面积,证明过勾股定理。但其证明过程中涉及的公式Ec = mc2等与相对论的质能方程具有类似的形式是一种偶然,并不能说明他是利用相对论证明了勾股定理,因此自读课本中的有关表述存在错误。”
这里用“偶然”和“表述存在错误”来轻描淡写,实在看不出诚意所在。他们承认:“在自读课本中出现这样的问题,说明我们在编辑、审稿过程中不够严谨科学。” 然而这仅仅是不够严谨和科学吗?这是在亵渎科学,是以伪科学在误导孩子。最后,这个声明的着眼点, 其实是欲盖弥彰、息事宁人,不想太丢人而已:“现在这个事已经形成了一波舆情,还请老师看到有关内容后不再转发。”如果真正认识到自己的错误,以及危害之严重,为什么要遮遮盖盖呢?难道不应该勇敢地向最广大的读者群承认错误,挽回损失吗?
真诚地认识和承认错误,是改正错误的开始。其实这个错误也不完全在几个编者,他们水平有限、自以为是,固然是事件的直接起因,但更要追究的是:谁把教科书这样重大的社会责任交付给他们?在美国,像费曼这样顶尖的物理学家曾经是中小学数学课标的评审人。我们这里呢?谁把中小学教育和他们的教科书真正当回事了?教育,当然要从娃娃抓起,幼儿、儿童和少年的教育会奠定一个人一生认知的基础,其无可替代的重要性是不言而喻的!
我们的教育部长已经夸下海口:中国在2049年就要成为世界教育的中心了! 借鉴于这个小小的事件,似乎可以预见,这个中心会是什么模样了吧!
参考文献:
1,《自读课本 数学 八年级下册》,人民教育出版社。
2,Fractals, Chaos, Power Laws: Minutes from an Infinite Paradise,Manfred R. Schroeder,Dover Publications,2009.
3,上帝如何设计世界:爱因斯坦的困惑张天蓉,清华大学出版社,2015.