舌尖上的数学,你尝过吗?怎么让“吃货”学习数学

自古以来,食物不仅仅是人类物质和能量的来源,同时也是一门高深的学问。作为探寻人类与食物之间关系的一门学问,美食学(Gastronomy)本身便是一门多元的学科,其中蕴含了医学、农学、化学、生物、地理,也包括历史、哲学、人类学、心理学、社会学,而大家都喜闻乐见的数学,也与美食有着密不可分的关系。
数学作为一种极富创造力的学科,从某种意义上来说本身就具有艺术的属性,数学之美与美食之美更是相得益彰。为了让更多读者(吃货)意识到数学的魅力,今天我们就带大家探寻数学中的美食秘籍,为大家揭秘舌尖上的数学
图片
△《中华小当家》中,钢棍解师傅就已经懂得运用黄金分割制作烧麦。
思考题:图中AQ:AB = ?
图片来源:动漫《中华小当家》
快餐:三明治vs汉堡
美食并不一定需要华丽的摆盘以及繁琐的步骤,日常的美食也可以十分美味,就譬如快餐的代表三明治。三明治备受数学家喜爱,譬如下面这个定理,就被称作“三明治定理”:
图片
机智的读者们可能已经发现,这其实就是大学微积分开篇就会提到的夹逼定理或者夹挤定理。而之所以叫它三明治定理,因为三明治形象地表达了这个定理被“夹”起来的特点。
图片
△米奇精湛的刀工,保证了两片面包片的极限相同,因而两片面包之间的面包片的极限也相同
图片来源:《米奇与魔豆》
当然,三明治不可能只有面包,根据三明治的官方定义,它是一种在面包中间放置肉、奶酪或蔬菜等食物,加上调味料、酱汁任意搭配在一起的小吃。因此也就有了下面的定理——火腿三明治定理。[1]
在n-维空间中有n个可测的“物体”(紧集,即闭合且有界的集合),可以用一个(n−1)-维的超平面把它们同时分成测度相等的两部分。
要理解这条定理,首先需要澄清几个名词:
· 测度:简单而言,所谓测度就是把集合映射到非负实数,以此来定义这个集合的大小。严格的数学定义如下:
图片
· 集合X的σ-代数:又称为X的σ-域,是X的幂集(包含所有X的子集的集合系)的子集合。
·超平面:指n-维欧几里得空间中,余维度是1的子空间,或者说是n-维空间中的(n−1)-维子空间。例如平面中的直线,空间中的平面。
火腿三明治定理可以视为博苏克-乌拉姆定理(任何一个从n-维球面到欧几里得n-维空间的连续函数,都一定把某一对对跖点映射到同一个点)的一个推论。运用到三明治上,即在三维空间中的3个可测的紧集(火腿三明治 =面包+火腿+面包),可以用一个(3−1)-维的超平面(刀片)把它们同时分成测度相等的两部分。
图片
△图片来源:《卫宫家今天的饭》
当然,快餐的选择当然不是只有三明治一种,爱吃汉堡的小伙伴也可以在数学中找到自己的最爱——Hamburger moment problem
图片
△图片来源:《蜡笔小新》
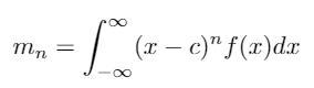
Hamburger moment problem即Hamburger矩问题,其中的Hamburger指的是德国数学家Hans Ludwig Hamburger(所以这个定理和我们吃的汉堡包好像没啥关系)。要理解这个问题,首先要理解“矩”的含义。moment在某些物理学文献中译作“动差”,用来表示物体的形状。实数域上的连续实函数f(x)相对于实数c的n阶矩定义为mn,
图片
但实际上矩在概率学领域也应用十分普遍。聪明的读者可能已经发现,如果令c = 0,n = 1,取f(x)为概率密度函数,则f(x)相对于值0的1阶矩等于连续随机变量的数学期望:
图片
进一步,令c = E(x),改变n的值,我们有:
· n = 2,m2定义了方差
· n = 3,m3定义了偏态
· n = 4,m4定义了峰态
而所谓的“矩问题”,指的是能有通过一个测度μ的矩序列mn确定该测度。其中
图片
根据μ的支撑集的不同, 矩问题出现了三个比较有名的“变种”[2]:
· Hamburger 矩问题:μ的支撑集为(−∞, +∞)
· Stieltjes 矩问题:μ的支撑集为 [0,+∞)
· Hausdorff 矩问题:μ的支撑集为有界闭区间
与其他的矩问题类似,Hamburger矩问题的关键在于μ的矩序列的存在性唯一性以及其结构(即如何描述μ的集合),文献[2]对此有详细的解释。
正餐:披萨牛羊大龙虾
有时候食客们选择快餐并非是出于口味上的偏好,而是别无选择之下的无奈之举。下面就让我们一起走进卖相相对更好(价钱相对更高)的料理,同时发掘其背后隐藏的数学奥秘。
图片
△图片来源:《海贼王》
披萨因为可以与大家一起分享,因此成为一种在全世界都颇受欢迎的食物。然而,经常吃披萨的小伙伴们往往会遇到一个难题:如何才能分到更多的披萨?平面几何学中的披萨定理或许可以解决这个难题[3-4]。披萨定理指出,如果以披萨上任意一个指定点为中心,切下n刀,使相邻的两刀隔的角度相同;然后按某个方向顺次为切出的各块交替染上两种颜色,那么有:
· 当有任意一刀通过圆心或n是大于2的偶数时,两种颜色的面积一样大。
· 如果任意一刀都不通过圆心,那么:
n 当 n = 1 或 2,或者n除以4余3时,包含圆心的部分比较大
n 当n大于4且除以4余1时,不包含圆心的部分比较大
图片
这个定理可以说明,当两个人在分披萨的时候,如何才能拿到更多。披萨定理的证明并不困难,也没有用到太多超出微积分领域的知识,但步骤之繁琐却远超笔者的想象(甚至可以单独写一篇文章来论述)。下面提供一个n = 4的特例下,不需要公式的证明,定理的完整证明请参见[4]。
上图为n = 4,即一张披萨切4刀的情况。证明思路基本可以总结为东拼西凑。显然,阴影部分面积和空白部分面积相等
图片
图片
当然除了披萨之外,牛羊肉也是必不可少的经典美食。显然数学对于牛羊的研究也从未停止过,例如小学数学经典问题“牛/羊吃草”问题。不过,今天我们要分享的是另一个经典“牛/羊/马吃草”问题。
图片
△图片来源:《小羊肖恩》
图片
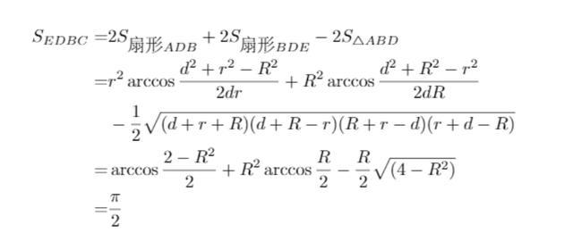
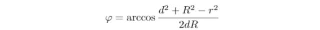
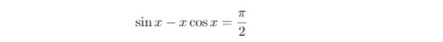
图中有一片圆形的草场,圆心为A,半径为r。在草场边缘有一点B,拴着一匹羊(当然如果你喜欢吃牛肉的话就可以栓一头牛)。栓羊的绳子长为R。问当R多长时,才能让羊在草场的一半区域吃草?
这道题最直接的思路是利用微积分求解。不过如果我们可以引入方程
图片
的解x = 1.9056957293…,我们就完全可以借助初中的知识解答这道题。
图片
不失一般性,这里我们假设草场半径r = 1,同时定义以下符号
图片
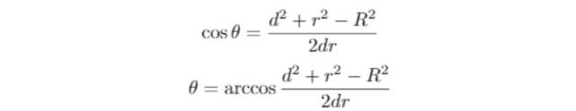
根据余弦定理可知,
图片
同理
图片
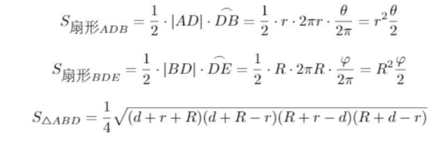
利用小学的几何知识,我们可以很轻易地计算出
图片
将前述的表达式代入
图片
令SEDBC = 半个草场的面积 = pi/2,解出R的值即可。这里的问题最终归结为在[0, pi]的范围内求解
图片
也算是唯一超纲的知识点。
用了这个定理,就能让牛羊在变成美食之前,更加茁壮地成长了
图片
△图片来源:《小羊肖恩》
除了上述食材,海鲜中也有不少美味的食材,譬如接下来我们要介绍的龙虾。龙虾是节肢动物门软甲纲十足目龙虾科下物种的通称,因其味道鲜美而广受大家喜爱。
图片
△图片来源:《食戟之灵》
在图论中,有一类特殊的“”就被称为“龙虾图”。要了解龙虾图,首先需要理解“图”和“树”两个概念。
·:在图论中,图用于表示物件与物件之间的关系。一张图由顶点(或结点)以及连结这些点的组成。可以将图G定义为由顶点集V与边集E组成的二元数对 (V, E)。如果给图的每条边规定一个方向,那么得到的图称为有向图。相反,边没有方向的图称为无向图
·是一种无向图,其中任意两个顶点间存在唯一一条路径。
对于一棵树而言,我们可以选其中的一个顶点,并称之为树的。这样我们就定义了有根树
一个有根的树叫做有根树
为了方便起见,我们同时给出以下定义:
· 一条边的两个端点中,靠近根的那个节点叫做另一个节点的父节点。
· 两个端点中距离根比较远的那个节点叫做另一个节点的子节点
· 没有子节点的子节点叫做叶节点
· 与某个顶点相关联的边数的总和称为这个顶点的
有了上述名词,我们就可以定义以下两种图:
·毛虫图(毛虫树),指的是图的每一个顶点或者在中心轴上,或者距离中心轴只有一条边。树是毛虫图,当且仅当所有大于等于3度的节点被至多两个大于等于2度的节点包围
·龙虾图(龙虾树),指的是移除叶节点会留下毛虫图的图。因为形状酷似龙虾,因此有了这个名字。
图片
图片
数学家眼中的毛毛虫(上)vs 数学家眼中的龙虾(下)
图片来源:[5-6]
小食:奶冻香蕉麦乐鸡
吃完正餐,餐后的小食甜品也是必不可少的。首先为大家介绍的便是著名的法式甜点——奶冻(blancmange)。
图片
△图片来源:giphy
上面魔性的动图恰好也体现了法式奶冻的一个重要特点,自相似性。根据这一特性,我们可以推测法式奶冻本身应该具有分型结构。1901年,类域论的开创者高木贞治给出了一个函数[7]
图片
其中s(x)为三角波函数,定义为
图片
这就是著名的法式奶冻曲线
图片
△法式奶冻曲线,顾名思义,就是长得跟法式奶冻一样的曲线。与其他分型函数一样,法式奶冻曲线是一种处处连续,但又处处不可微的函数图形。
图片来源:自制
传统上法式奶冻用牛奶或鲜奶油加糖制成,同时加入杏仁增添风味。不过改良后的甜品可以通过加入草莓、香蕉或其他水果来增加风味。说到香蕉,它是芭蕉科芭蕉属植物,不少美味的甜点都离不开香蕉。
图片
△图片来源:《卑鄙的我》
在数学中,不时也可以看到香蕉的身影。例如在数学优化理论中,Rosenbrock函数又被人们称为“Rosenbrock香蕉函数”,常被人们用来测试最优化算法的性能。Rosenbrock函数被定义为[8]
图片
函数的等高线大致呈抛物线形,其全局最小值位于香蕉型的山谷中。这个点其实很容易通过肉眼发现,但由于山谷内的值变化不大,要通过算法找到这个最小值还是有些难度的。
图片
△利用Rosenbrock函数测试梯度下降法。其中红点表示全局最小值f(x,y) = 0,此时(x,y) = (1,1)。
图片来源:自制
说罢香甜可口的点心,咸香酥脆的小吃也颇受人们喜爱,譬如麦乐鸡
图片
△麦乐鸡的蘸酱都有不少粉丝 图片来源:《瑞克和莫蒂》
在数学上,硬币问题(又称Frobenius 硬币问题)有一个变种,被称为“麦乐鸡(McNugget)数问题”[9],也从侧面反映了麦乐鸡的强大影响力。
硬币问题是指求仅使用特定面额的硬币无法获得的最大金额。例如,3元硬币和5元硬币无法获得的最大金额是7元(所以几乎没有什么中央银行会发行3元硬币)。这里要求硬币面额的最大公约数为1。用数学语言可以描述为,已知正整数a1,a2,……,an且 (a1,a2,……,an) = 1。则对于正整数集合{k1,k2,……,kn},求k1a1 + k2a2 + ··· + knan可以组成的数字中最大的那一个。
硬币问题的一个变种就是所谓的麦乐鸡数问题。已知麦当劳售卖的麦乐鸡有三种规格:6块装、9块装和20块装(这里不考虑“开心乐园餐”里包含的4块装麦乐鸡),可以用上述三种规格麦乐鸡组成的麦乐鸡块数都被称为麦乐鸡数麦乐鸡数问题指的是求出最大的麦乐鸡数,即不能用上述三种规格的麦乐鸡组成的鸡块数。
如果深究下去,麦乐鸡数问题还有很多角度的性质有待发掘。譬如最大的非麦乐鸡数的存在性问题,麦乐鸡规格数增加对最大非麦乐鸡数的影响等等。不过对于眼前这个问题,我们可以用十分直观的方式来解决。
图片
△图片来源:自制
上图中,红色标记的数字是非麦乐鸡数,注意44~49,这六个相连的数字都是麦乐鸡数,所以保证了大于44的数都是麦乐鸡数。因此最大的麦乐鸡数为43,即点餐时麦乐鸡块数超过43,就一定可以用若干盒6块装、9块装和20块装麦乐鸡组成。
数学与美食一样,伴随人类走过了漫长的岁月。美食之美,唯有品尝过后才能体会;数学之妙,恐怕也只有走进之后方能发觉。愿诸位看完这则短文,也能体会数学与美食的共通之处。美食不可辜负,数学亦复如是。
参考文献:
[1] Beyer, W. A., Zardecki, Andrew (2004), The early history of the ham sandwich theorem, American Mathematical Monthly, 111 (1): 58–61.
[2] Chihara, T.S. (1978), An Introduction to Orthogonal Polynomials, Gordon and Breach, Science Publishers.
[3] Upton, L. J. Problem 660. Mathematical Magazine. 1967, 40: 163.
[4] Mabry, R. and P. Deiermann (2009). Of Cheese and Crust: A Proof of the Pizza Conjecture and Other Tasty Results. American Mathematical Monthly. 116: 423–438.
[5] Harary, F. and Schwenk, A. J (1973). The Number of Caterpillars. Disc. Math. 6, 359-365.
[6] Mishra, D., Panigrahi, P. (2016). Some new classes of graceful Lobsters obtained from diameter four trees. Mathematica Bohemica, Vol. 135 (2010), No. 3, 257-278.
[7] Takagi, Teiji (1901), A Simple Example of the Continuous Function without Derivative, Proc. Phys.-Math. Soc. Jpn., 1: 176–177.
[8] Rosenbrock, H.H. (1960). An automatic method for finding the greatest or least value of a function. The Computer Journal. 3 (3): 175–184.
[9] Wah, Anita; Picciotto, Henri (1994). Lesson 5.8 Building-block Numbers. Algebra: Themes, Tools, Concepts. p. 186.
——
出品:科普中国
制作:铸雪 外研社
监制:中国科学院计算机网络信息中心
图片