材料届的新校花——MXenes在储能、催化、储氢、传感方面的最近进展

MXenes材料是一类具有二维层状结构的金属碳化物和金属氮化物材料,它外形类似于片片相叠的薯片。它具有许多优越的特性包括元素组成和结构的可调性,金属特性,载流子迁移各向异性,良好的光学和机械性能等。目前该类材料已在多个领域(如能源、光学、催化等)引发了全世界的关注。为了让更多的研究者了解MXenes材料,促进MXenes材料的开发和利用,本文总结了近年来MXenes材料的一些代表性应用成果(储能、储氢、催化及传感等领域),以供大家参考。
1、储能领域
Energy &EnvironmentalScience三维褶皱Ti3C2MXene复合NiCoP双金属磷化物构建高性能钠离子电池负极材料
二维层状材料MXene因具有高的电子电导率和离子扩散速率而在电化学储能领域拥有广阔的发展前景。但层层堆叠MXene活性位点较少且不利于离子的快速传输,因此难以满足未来的需求。基于此,山东大学的尹龙卫和王成祥团队通过NaOH溶液诱导的方法制备了三维交联褶皱状的Ti3C2 MXene,然后用其负载具有高活性位点的NiCoP纳米颗粒,从而得到了一种三维交联多孔结构的Ti3C2/NiCoP复合材料(图1)[1]。在该复合材料中,三维交联褶皱状的Ti3C2构建了一个3D的导电网络,且其大的比表面积和丰富的孔道有利于材料与电解液充分接触并保证快速的离子传输。这种独特MXene结构也可以有效地容纳NiCoP活性颗粒在钠化过程中的体积膨胀并阻止材料的聚集和粉化。与此同时,NiCoP双金属磷化物则拥有者丰富的氧化还原反应活性位点,高的电子电导率和低的电荷转移电阻。NiCoP和Ti3C2MXene材料间的协同效应使该复合材料具有高的结构稳定性和电化学活性,因而材料表现出了优异的电化学性能(图2)。在1 A g-1循环2000次后,该Ti3C2/NiCoP复合材料仍然有着261.7 mAh g-1的比容量。这种将高活性材料与3D褶皱状Ti3C2 MXene相复合策略也可用于制备其他新型电极以用于高性能储能器件。
图1Ti3C2/NiCoP复合材料的制备流程
图片图2 Ti3C2/NiCoP复合材料的电化学性能
图片
Nano Energy多孔MXene助力高性能钾离子电容器梦想成真!
考虑到成本优势以及K/K+低的氧化还原电位,高功率K+电容器非常有希望应用在各种大规模储能系统中。然而,钾离子大的尺寸也对储钾电极材料的开发带来了大的挑战。在此,阿卜杜拉国王科技大学的Husam N. Alshareef团队设计了一种制备多孔MXene电极材料的通用方法,它可以显著地增强K+存储性能(图3)[2]。作者选用V2C MXene作为典型代表,发现V2C MXene材料的储钾容量在依次经过简单地酸/碱处理后有了明显地提升。研究发现,最终产物K–V2C MXene不仅表现出了高达195 mAh g-1的比容量,而且还拥有着好的倍率性能(图4)。作为对比,原始的V2C MXene材料仅能放出98 mAh g-1的比容量。此外,作者也对K–V2C MXene材料的储钾机理进行了详细地研究,发现其主要涉及溶剂共插入过程。进一步地,作者还将K–V2C MXene负极与普鲁士蓝类似物正极(KxMnFe(CN)6)相匹配制备了全电池。测试表明,K–V2C//KxMnFe(CN)6电池的平均工作电压高达3.3 V,而且它在112.6 W kg-1的功率密度下还能实现高达145 Wh kg-1的能量密度(图4)。这表明K–V2C MXene材料或者采用该方法制备的其他多孔MXene材料是一种非常有希望的K+电容器电极材料。
3 K–V2C MXene材料的制备过程和结构表征
图片图4 K–V2C MXene材料在半电池和全电池中的电化学性能
2、催化领域
JouleTi3C2TxMXene在常温常压下高效电催化固氮
氨作为一种重要的工业原料,化肥前驱体和燃料对于人类社会极为重要。近几十年来,Haber-Bosch法一直都是合成氨的主要方法,但该方法需要在高温高压下进行,耗能高,污染大。因此人们希望能够采用可持续能源在常温常压下合成氨。不过,N2中的N≡N非常稳定,在常温常压下,氮气和氢气的反应在动力学十分缓慢,且析氢电位和氮还原电位十分接近,这会严重制约氮还原合成氨的效率,迄今为止,各种催化剂的真实效率尚小于1%。因此,开发出一种能够在室温下高效固氮的电催化剂是一大挑战。在此,华南理工大学王海辉和丁良鑫团队利用Ti3C2TxMXene作为催化活性中心实现了氨的电催化高效合成(法拉第效率高达5.78%)[3]。实验和理论都表明,MXene的基底面(basal plane)是相对惰性的,其催化活性与暴露的边缘面(edge plane)数量有关。据此,作者通过减小MXene的尺寸并将其负载在具有弱析氢能力的垂直排列的FeOOH表面实现了活性位点的最大程度暴露(图5)。与负载在不锈钢网上的MXene相比(1.44%),负载在垂直排列的FeOOH表面的MXene具有更高的电催化法拉第效率(5.78%)(图6)。其性能改善主要源于以下几个方面:(1)催化活性位点的增加;(2)载体具有低的析氢反应;(3)垂直排列的FeOOH有利于反应气体的扩散。该工作也对优化2D催化剂的表面性质以用于常温常压下高效固氮提供了重要借鉴。
图5Ti3C2TxMXene材料的物理性质
图片MXene的活性位点识别和FeOOH负载的MXene材料的氮还原性能
3、储氢材料
International Journal of Hydrogen EnergyTi3C2MXene改善LiBH4的储氢性能
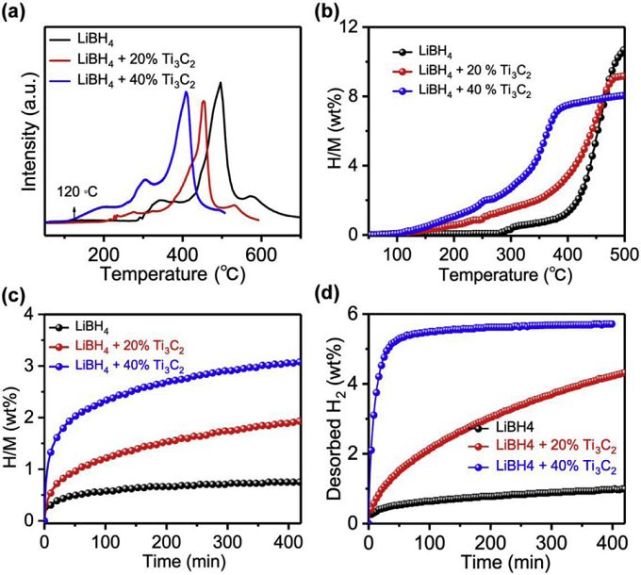
氢能是一种可再生的清洁能源,人们认为它最有希望取代传统的化石能源。然而,氢能在存储和运输方面的困难严重地研制了它大规模的应用。LiBH4作为一种储氢材料因具有大的理论储氢容量(18.5 wt%)和高的体积储氢密度(121 kg m-3)而受到了广泛地关注。但是,LiBH4差的动力学和高的脱氢温度阻碍了其实际应用。在此,河南理工大学的刘宪云和刘宝忠团队通过球磨的方法将LiBH4与二维层状Ti3C2 MXene相复合,以期改善LiBH4的脱氢性能[4]。程序控温脱氢实验和等温脱氢实验结果都表明加入Ti3C2 MXene有助于改善LiBH4的储氢性能。引入40 wt% Ti3C2 MXene的LiBH4脱氢起始温度仅为120℃,作为对比,纯的LiBH4脱氢起始温度则高达近300℃(图7)。与此同时,LiBH4+40 wt% MXene材料在350℃下1 h内能够放出大约5.37 wt%的氢(图7)。进一步地,作者也对引入Ti3C2 MXene后LiBH4材料的脱氢动力学进行了研究(图8)。与纯的LiBH4相比,LiBH4+40 wt% MXene材料的激活能垒足足降低了70.3KJmol-1LiBH4+40 wt% MXene材料优异的脱氢性能可能源于包含Ti的层状Ti3C2 MXene材料具有一定活性且具有大的比表面积。本工作也为利用MXene材料改善储氢材料的性能提供了一定的借鉴。
图7Ti3C2MXene对LiBH4脱氢性能的改善
图片LiBH4+40 wt% MXene材料的质谱曲线和Kissinger图
图片
4、传感器
Nano LettersMXene纳米片制备的可穿戴瞬态压力传感器用作高灵敏宽范围的人机交互界面
由于具有便携、实时压力感应、柔性和对环境污染少的特点,柔性可降解的压力传感器受到了广泛的关注,它非常有希望应用在瞬态压力传感器,柔性显示器和智能机器人领域。然而,设计并制备出同时具有高的灵敏度、宽的压力感应范围(直到30 kPa)、快速的响应、长的使用寿命和可降解特性的压力传感器以实现全尺度的生物压力信息监视并减少电子垃圾排放仍然是一个巨大的挑战。MXenes是一种具有二维层状结构的材料,它具有大的比表面积和高的电子电导率,已经在电化学储能器件上得到了广泛的应用。在此,北京化工大学的万鹏博和美国德克萨斯大学奥斯汀分校的余桂华团队通过将含有MXene的薄纸(Tissue)包裹在生物可降解的聚乳酸(PLA)夹层中制备出了一个具有高灵敏度、柔性的、可降解的压力传感器(图9)[5]。研究发现,该柔性的压力传感器具有高的灵敏度(最低检测限10.2 Pa)、宽的压力检测范围(最高达30 kPa)、快的响应速度(11 ms)、低的功率消耗(10-8 W)、长的使用次数(高达10000次)和优异的可降解性(图10)。该压力传感器也可用来预测病人潜在的健康状况或作为电子皮肤来显示压力刺激(图10)。这些都表明它在个人健康监视、临床诊断和下一代人工皮肤方面非常有前景。
9采用Ti3C2TxMXene制备的可穿戴瞬态压力传感器
图片
10压力传感器制备成的电子皮肤和其降解实验结果
图片
5、光学领域
Advanced ScienceTi3C2MXene量子点实现双光子白色荧光
最近,二维无机材料MXenes受到了广泛的研究与关注。如果能够将它们的尺寸从2D片层状变为0D的量子点(QDs),我们就能得到更多有用的性质和功能,如用于光致发光和光催化等。然而,这方面的研究却比较少,已有的研究也表明Ti3C2 MXene量子点(Ti3C2 MQDs)仅能发出蓝色荧光。鉴于此,郑州大学的卢思宇吉林大学肖冠军河南理工大学刘宝忠团队合作开发了一种简易高效的制备具有强烈白色荧光的Ti3C2 MQDs的方法[6]。最终制备的Ti3C2 MQDs产物厚度大约为2层,尺寸大约为13.1 nm(图11)。重要的是,合成出的Ti3C2 MQDs表现出强烈的双光子白色荧光。作者也研究了Ti3C2 MQDs在高压条件下发光性质:它仍然能够发出稳定的白光但颜色从冷白色变为暖白色(图12)。进一步地,作者还将Ti3C2 MQDs在聚二甲硅氧烷(PDMS)溶液中进行聚合制备出了纳米复合材料,并将这种能够发出亮白色光的复合材料应用在了白光LEDs中。这个工作为调控MXene材料的尺寸提供了一种简易通用的方法,并能够进一步地促进MXene材料在光学领域的应用。
11Ti3C2MXene量子点
图片图12 压力对Ti3C2 MXene量子点发光性能的影响
图片
6、其他
由于MXenes材料具有独特的成分和结构以及广泛地可调控性,它们还广泛地应用在电磁干扰屏蔽,通信,复合材料增强,水净化,润滑和气体分离等各种领域。
Advanced Functional Materials二维Ti3C2TxMXene实现高效电磁屏蔽和无线通信在物联网兴起的过程中,可伸展的天线能够促进可穿戴设备和移动电子设备在人体周边的无线通信。然而,大量的无线信号传输不仅会互相干扰而且还会引发健康问题,因此如何制备一种可伸展的材料以同时实现无线通信并屏蔽电磁干扰就显得很重要。鉴于此,新加坡国立大学的Po-Yen Chen团队通过在乳胶(Latex)上沉积一层包含2D Ti3C2Tx MXene纳米片和单壁碳纳米管(SWNT)的褶皱状织物涂层制备出了一种可伸展的导体(图13),它可用于制备高性能可穿戴天线和电子屏蔽器件[7]。测试表明,该MXene-SWNT/Latex(S-MXene/Latex)器件能够承受高达800%的面应变且在持续500次的疲劳试验中展示出应变不敏感的电阻特性(图13)。单层可伸展的S-MXene导体的电磁屏蔽性能大约为30 dB且不随应变而变。当叠加5层和10层S-MXene导体时,器件的电磁屏蔽性能分别提升到了47和52 dB。此外,作者还将S-MXene导体制备成了偶极子天线,它能够拉伸变形150%并保持反射功率基本不变。通过集成S-MXene的电磁屏蔽功能与S-MXene偶极子天线,最终作者展示了一个可穿戴的无线通信系统(图14),它能够实现稳定的无线通信并实现电磁屏蔽以保护人体健康。
13 MXene-SWNT/Latex(S-MXene/Latex)器件及其拉伸性能
图片
14可穿戴的S-MXene系统
图片
参考文献
[1] D. Zhao, R. Zhao, S. Dong, X. Miao, Z. Zhang, C. Wang, L. Yin, Alkali-induced 3D crinkled porous Ti3C2 MXene architectures coupled with NiCoP bimetallic phosphide nanoparticles as anodes for high-performance sodium-ion batteries, Energy & Environmental Science, 12 (2019) 2422-2432.
[2] F. Ming, H. Liang, W. Zhang, J. Ming, Y. Lei, A.-H. Emwas, H.N. Alshareef, Porous MXenes enable high performance potassium ion capacitors, Nano Energy, 62 (2019) 853-860.
[3] Y. Luo, G.-F. Chen, L. Ding, X. Chen, L.-X. Ding, H. Wang, Efficient Electrocatalytic N2 Fixation with MXene under Ambient Conditions, Joule, 3 (2019) 279-289.
[4] Y. Fan, D. Chen, X. Liu, G. Fan, B. Liu, Improving the hydrogen storage performance of lithium borohydride by Ti3C2 MXene, International Journal of Hydrogen Energy, 44 (2019) 29297-29303.
[5] Y. Guo, M. Zhong, Z. Fang, P. Wan, G. Yu, A Wearable Transient Pressure Sensor Made with MXene Nanosheets for Sensitive Broad-Range Human-Machine Interfacing, Nano Lett, 19 (2019) 1143-1150.
[6] S. Lu, L. Sui, Y. Liu, X. Yong, G. Xiao, K. Yuan, Z. Liu, B. Liu, B. Zou, B. Yang, White Photoluminescent Ti3C2 MXene Quantum Dots with Two-Photon Fluorescence, Adv Sci (Weinh), 6 (2019) 1801470.
[7] Y. Li, X. Tian, S.P. Gao, L. Jing, K. Li, H. Yang, F. Fu, J.Y. Lee, Y.X. Guo, J.S. Ho, P.Y. Chen, Reversible Crumpling of 2D Titanium Carbide (MXene) Nanocoatings for Stretchable Electromagnetic Shielding and Wearable Wireless Communication, Advanced Functional Materials, (2019) 1907451.